Internet

History Of The Internet

  • Development of electronic computers

  • ARPANET developed

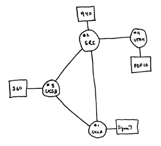
    ARPANET developed

  • First packet switching papers

  • Merit Network founded

  • Arpanet planning starts

  • Internet Assigned Numbers Authority (IANA) established

  • CYCLADES network demonstrated

  • Telenet packet-switched network

  • BITNET established

  • Internet introduced

  • Access to supercomputer sites in the United States

  • ARPANET decommissioned

  • The internet was comercialized

  • ebay - online auction and shopping

    ebay - online auction and shopping

  • Amazon - online retailer

    Amazon - online retailer

  • hotmail - free web-based email

    hotmail - free web-based email

  • Internet corporation for assigned names

  • Google search

    Google search

  • Wireless networking

    Wireless networking

  • dot-com starts

    dot-com starts

  • Wikipedia

    Wikipedia

  • National Lamdarail founded

  • Facebook

    Facebook

  • Youtube

    Youtube

  • First meeting of the internet governance forum

  • Twitter

    Twitter

  • Google +

    Google +

Plan projects on a visual timeline

Map milestones, phases, deadlines, and key events in one place so the sequence is easier to see and share. Timetoast is a timeline maker for work, school, research, and stories.