Hqdefault

HISTORIA DEL CÁLCULO

  • CÁLCULO INFINITESIMAL
    1643 BCE

    CÁLCULO INFINITESIMAL

    Isaac Newton descubrió la fórmula para obtener la fuerza centrífuga. y el fundador del cálculo infinitesimal
  • Period: 1642 BCE to 1727 BCE

    MUERTE DE ISAAC NEWTON

    Por último, "una persistente tos" le debilitó mucho y después de haber eedido el dolor durante algunos dias, murió pacíficamente entre la una y las dos de la mañana a los. Fue enterrado en la Abadía de Westminster
  • Period: 287 to 212

    ARQUÍMEDES

    Arquímedes se consideró el padre de la ciencia mecánica y matemáticas aportó el descubrimiento de la superficie, volúmen de una esfera.
  • Period: 287 to 212

    EDAD ANTIGUA

    Arquímedes desarrolló mas allá su idea inventando un método heurístico, denominado exahustación, que se asemeja al cálculo infinitesimal.
  • Period: 300 to 201

    ORIGEN DEL CÁLCULO

    Los orígenes del cálculo integral se remontan, como no, al mundo griego; concretamente a los cálculos de áreas y volúmenes que Arquímedes realizó en el siglo III a.C.
  • Period: to

    DESARROLO DEL ÁLGEBRA

    El desarrollo del álgebra simbólica y la geometría analítica que permitieron el tratamiento algebraico de las curvas posibilitando enormemente los cálculos de tangentes, cuadraturas, máximos y mínimos, entre otros, ocurrió principalmente en el siglo XVII
  • Period: to

    GEOMETRÍA ANALÍTICA

    La primera parte del siglo XVII vio el nacimiento de la geometría analítica de Fermat y Descartes.
  • FUNCIONES ANALÍTICAS

    FUNCIONES ANALÍTICAS

    La regla del producto y la regla de la cadena,la noción de derivada de mayor orden, las series de Taylor , y las funciones analíticas fueron introducidas por Isaac Newton en una notación idiosincrástica que usó para resolver problemas de física.
  • NACIMIENTO DE LEIBNIZ

    NACIMIENTO DE LEIBNIZ

    Nació en Leipzig el 1 de julio de 1646 vivio solo 70 años
  • Period: to

    DESCUBRIMIENTO DE NEWTON

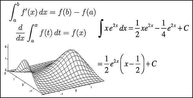
    Newton hizo un descubrimiento capital: vió que el cálculo diferencial y el cálculo integral estan íntima y recíprocamente relacionados por lo que actualmente se llama "El teorema fundamemntal del Cálculo"
  • LEIBINZ

    LEIBINZ

    Teniendo veinte años, estaba totalmente preparado para obtener el título de doctor en leyes
  • Period: to

    PLANTEAMIENTO DEL CÁLCULO

    En el siglo XIX, el cálculo comenzó a ser planteado mas rigurosamente por matemáticos como Cauch, Riemman y Weierstrass
  • Period: to

    CALCULOS RATICINATOR

    La logica simbólica inventada por boole es solo parte de la Característica que Leibinz llamó calculos raticinator
  • PRINCIPIOS DEL CÁLCULO

    PRINCIPIOS DEL CÁLCULO

    Hasta llegar al año 1910, cuendo el movimiento moderno en el razonamiento simbólico dió lugar a otros Principia, los Principia Mathematica de Whitehead y Russell