Historia de los Números Fraccionarios

  • Babilonios
    4000 BCE

    Babilonios

    Los babilonios utilizaban las fracciones teniendo como único denominador al número 60. Esto les permitió desarrollar un eficaz sistema de notación fraccionaria, que les ayudó a establecer aproximaciones decimales realmente sorprendentes. Para los babilónicos era relativamente fácil conseguir aproximaciones muy precisas en sus cálculos utilizando su sistema de notación fraccionaria, la mejor de que dispuso civilización alguna hasta la época del Renacimiento.
  • Cultura Babilónica
    4000 BCE

    Cultura Babilónica

    El origen conocido de los números fraccionarios se remonta casi 4.000 años atrás, en las culturas babilónicas. Los babilonios eran expertos en cálculos, y se considera que fueron ellos quienes por primera vez utilizaron las fracciones.
    La información sobre las fracciones babilónicas se deriva de unas 400 tablillas de arcilla, desenterradas en excavaciones en el año de 1850. Se descubrió que las tablillas se grababan en arcilla húmeda que luego eran endurecidas en un horno o calentándolas al sol.
  • Civilización Egipcia
    1650 BCE

    Civilización Egipcia

    El Papiro de Rhind de Egipto, escrito hacia el año 1.650 a. C. y que se considera la mayor fuente de conocimiento de la matemática egipcia.
    Ellos usaron las fracciones para la resolución de problemas que se le presentaban en su cotidianidad, situaciones de reparto, es decir, donde la fracción se tomaba como cociente. Ejemplo de ello, era como se hacia la distribución del pan, el sistema de construcción de pirámides, las medidas utilizadas para estudiar la tierra, etc.
  • Los Egipcios
    1650 BCE

    Los Egipcios

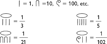
    Se considera que fueron los egipcios quienes utilizaron por primera vez las fracciones unitarias, que son fracciones con numerador 1.
    Como todo se expresaba por medio de jeroglíficos, el símbolo usado para la fracción era una “boca abierta” que denotaba la barra de fracción (/), y un arte numérico escrito debajo de la "boca abierta", que denotaba el denominador de esa fracción.
    ver video...
    https://www.youtube.com/watch?time_continue=24&v=CbiKg7Q6cSc
  • CHINA Fracciones Ordinarias
    1105 BCE

    CHINA Fracciones Ordinarias

    Los chinos conocían muy bien las operaciones con fracciones ordinarias, hasta el punto de hallar el mínimo común denominador de varias fracciones. Como era su costumbre asignaban un rol femenino y otro masculino a los elementos que componen la fracción. Se referían al numerador como “el hijo” y al denominador como “la madre”.
    La adopción de un sistema decimal en pesos y medidas dio como resultado que se impusiera el ámbito decimal en el manejo de las fracciones.
  • CIVILIZACION GRIEGA
    325 BCE

    CIVILIZACION GRIEGA

    Los griegos trabajaron con un sistema de numeración alfabético, introduciendo fracciones con números distintos de la unidad en el numerador, valiéndose para ello de letras. Para los griegos, los números fraccionarios estaban asociados a longitudes y efectuaban cálculos con fracciones bastante complicados. Así mismo, los griegos usaron también las fracciones unitarias, cuya utilización persistió hasta la época medieval.
  • CHINA Fracciones Decimales
    100

    CHINA Fracciones Decimales

    En el siglo I, se cree que los matemáticos chinos ya conocían las fracciones decimales, y que de ahí se extendió su uso a medio Oriente y Europa.
  • CIVILIZACIÓN INDIA
    400

    CIVILIZACIÓN INDIA

    Los hindúes establecieron reglas para efectuar operaciones con fracciones. Inicialmente Aryabhata realizó trabajos en ese sentido y después, lo hizo Bramagupta en el siglo VII. Las reglas que se utilizan en la actualidad para trabajar con fracciones, fueron obra de Mahavira en el siglo IX y Bháskara en el siglo XII.
  • INDIA Fracciones
    1200

    INDIA Fracciones

    El nombre de fracción como tal, se debe a Juan de Luna, que tradujo al latín, en el siglo XII, el libro de aritmética de "Al-Juarizmi". Él, empleó la palabra "FRACTIO" para traducir la palabra árabe "al-Kasr", que significa QUEBRAR, ROMPER.
  • FIBONACCI
    1202

    FIBONACCI

    Leonardo de Pisa, más conocido por su apodo Fibonacci, introdujo en Europa la barra horizontal para separar numerador y denominador en las fracciones.
  • TEORÍA SOBRE LAS FRACCIONES DECIMALES DE SIMON STEVIN

    TEORÍA SOBRE LAS FRACCIONES DECIMALES DE SIMON STEVIN

    Considerado como el precursor del uso moderno de los fraccionarios desde el siglo XVI
    De Thiende un tratado científico de treinta y seis páginas en el que se introduce el uso sistemático de las fracciones decimales. Hasta entonces los matemáticos encontraban enormes dificultades en realizar cálculos en los que intervenían quebrados Se Indica que a la derecha de las unidades, podía incluirse una coma y tras ella, las unidades, decenas, centenas y así sucesivamente para representar las fracciones
  • USO GENERALIZADO FRACCIONES

    USO GENERALIZADO FRACCIONES

    A partir del año 1700, fue cuando se hizo un uso generalizado de las fracciones hasta como se conocen hoy en día.

Looking for a timeline maker?

Create timelines for projects, roadmaps, history, lessons, legal cases, and stories with Timetoast. Timetoast is a timeline maker for work, school, research, and stories.