Euler

Historia de Leonard Euler

  • Nacimiento de Leonhard Euler

    Nacimiento de Leonhard Euler

    Leonhard Euler, nació en Basilea(Suiza) hijo de Paul Euler, un pastor calvinista, y de Marguerite Brucker, hija de otro pastor. Tuvo dos hermanas pequeñas llamadas Anna Maria y Maria Magdalena. Euler fue un matemático y físico suizo.Realizó importantes descubrimientos en áreas tan diversas como el cálculo,también introdujo gran parte de la moderna terminología y notación matemática, particularmente para el área del análisis matemático.
  • Leonhard Euler introdujo la notación "e" como base de los logaritmos neperianos.

    Euler definió la constante matemática conocida como número e como aquel número real tal que el valor de la derivada (la pendiente de la línea tangente) de la función f(x)=ex en el punto x=0 es exactamente 1.
    En una carta a Goldbach en 1731 Euler utiliza de nuevo la letra e, según sus palabras, el número cuyo logaritmo hiperbólico es igual a 1.
  • Leonhard Euler contrajo matrimonio.

    Leonhard Euler contrajo matrimonio.

    Euler contrajo matrimonio con Katharina Gsell, hija de un pintor de la Academia. La joven pareja compró una casa al lado del río Neva y llegó a concebir trece hijos, si bien sólo cinco sobrevivieron hasta la edad adulta.
  • Euler introdujo la notación f(x) para hacer referencia a la función  f aplicada sobre el argumento x.

    Euler introdujo la notación f(x) para hacer referencia a la función f aplicada sobre el argumento x.

    En análisis matemático, el concepto general de función, se refiere a una regla que asigna a cada elemento de un primer conjunto un único elemento de un segundo conjunto.
  • Fórmula de Euler

    Fórmula de Euler

    La fórmula de Euler fue formulada por primera vez por Roger Cotes en 1714, y luego redescubierta y popularizada por Euler en 1748.
    La Fórmula o relación de Euler, atribuida a Leonhard Euler, establece que:
    e^(i x) = cos x + isin x para todo número real x, que representa un ángulo en el plano complejo. Aquí, e es la base del logaritmo natural, i es la unidad imaginaria, sin x y cos x son las funciones trigonométricas seno y coseno.
    (LA IMAGEN ES LA FÓRMULA DE EULER EN EL LANO COMPLEJO)
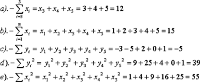
  • Euler introdujo la letra griega Σ  como simbolo de los sumatorios.

    Euler introdujo la letra griega Σ como simbolo de los sumatorios.

    La sumatoria o sumatorio (llamada también notación sigma) es una operación matemática que se emplea para calcular la suma de muchos o infinitos sumandos.
  • Leonhard Euler introdujo la notación o letra "i" para hacer referencia a la unidad imaginaria.

    Leonhard Euler utiliza la letra “i” para representar la raíz cuadrada de -1.Había utilizado el símbolo i para denotar lo que podríamos llamar un número infinito. Por ejemplo, Euler escribía e^x=(1+x/i)^i.
    No lo uso hasta finales de su vida, pero la adopción del símbolo i por parte de Gauss en su Disquisitiones Arithmeticde 1801 terminó por entregarle a esta notación el lugar que ocupa actualmente.
  • Fallecimiento

    Fallecimiento

    El 18 de septiembre de 1783, Euler falleció a los 76años de edad en la ciudad de San Petersburgo tras sufrir un accidente cerebrovascular y fue enterrado junto con su esposa en el Cementerio Luterano ubicado en la isla de Vasilievsky. Sus restos fueron trasladados por los soviéticos al Monasterio de Alejandro Nevski.

Looking for a timeline maker?

Create timelines for projects, roadmaps, history, lessons, legal cases, and stories with Timetoast. Timetoast is a timeline maker for work, school, research, and stories.