Portada matematica egb superior

HISTORIA DE LAS MATEMÁTICAS

By nay09
  • PREHISTORIA
    6000 BCE

    PREHISTORIA

    Surge el conteo basado en la comparación (hombre primitivo)
  • MESOPOTAMIA
    3000 BCE

    MESOPOTAMIA

    Con la invención de la escritura el calculo floreció mediante un sistema decimal y sexagesimal y cuya primera aplicación fue en el comercio.
  • SISTEMA SEXAGESIMAL
    3000 BCE

    SISTEMA SEXAGESIMAL

    Los sumerios lo inventaron
    Fue encontrado en las tablillas de arcillas, representados con forma de cuña.
    De ahí el origen de la división del tiempo en 60 minutos, 60 segundos.
    Origen de los ángulos.
  • “El papiro de Rhind“
    2000 BCE

    “El papiro de Rhind“

    Aparecen las primeras sumas de fracciones
    “El papiro de Rhind“
  • Tableta de plimpton
    1800 BCE

    Tableta de plimpton

    Esta tabla muestra lo que ahora se llaman ternas pitagóricas
    Babilonicos
  • Propiedades generales de rectas e igualdades de ángulos
    500 BCE

    Propiedades generales de rectas e igualdades de ángulos

    Los jonios
  • El abaco
    500 BCE

    El abaco

    China
    Tablero del calculo
  • Teorema de Pitágoras
    500 BCE

    Teorema de Pitágoras

  • Tales de mileto
    500 BCE

    Tales de mileto

    Son cinco sus teoremas geométricos:
    Todo diámetro bisecta a la circunferencia
    Los ángulos en la base de un triángulo isósceles son iguales
    Los ángulos opuestos por el vértice son iguales
    Dos triángulos que tienen dos ángulos y un lado respectivamente iguales son iguales
    Todo ángulo inscrito en una semicircunferencia es recto
  • Elementos de la geometría
    300 BCE

    Elementos de la geometría

    Euclides
    Punto.
    Recta.
    Plano.
    Espacio.
  • Cónicas
    200 BCE

    Cónicas

    Propiedades de las curvas
    Apolonio
  • ARQUIMEDES
    200 BCE

    ARQUIMEDES

    De la esfera y el cilindro
    Cuadratura del círculo
    La cuadratura de la parábola
    Las espirales
  • MAYAS
    36 BCE

    MAYAS

    Invención del 0
  • Aryabhata
    476

    Aryabhata

    Aryabhata determinó de manera muy precisa, para las condiciones de aquel entonces, el número π (Pi): en 3,1416 y parece haber intuido que se trataba de un número irracional.
  • SISTEMA DECIMAL
    500

    SISTEMA DECIMAL

    India
    Tomaron como base el diez, en base a los diez dedos de la mano.
  • Brahmagupta
    598

    Brahmagupta

    Brahmagupta desempeñó sus labores como matemático, Estableció reglas para la aritmética con los números negativos y fue el primero que definió y utilizó el cero para los cálculos. La fórmula de Brahmagupta lleva su nombre.
  • Al-Juarismi
    780

    Al-Juarismi

    Al-Juarismi fue un matemático, astrónomo. Se le considera como uno de los matemáticos más relevantes debido a que se dedicó al álgebra como forma de investigación elemental. Al-Juarismi introdujo de la matemática hindú la cifra cero (árabe: sifr) en el sistema arábico y con ello en todos los sistemas numéricos modernos.
  • Habas al-Hasib y Nasir ad-din
    792

    Habas al-Hasib y Nasir ad-din

    Investigaron y crearon diversos tipos de trigonometrías planas y esféricas, utilizando la función de seno de los indios y el famoso teorema de Manelao de Alejandria.
  • Thabit Ibn Qurra
    828

    Thabit Ibn Qurra

    Thabit ibn Qurra (latín: Thebit) hizo contribuciones a la generalización del teorema de Pitágoras y del postulado de las paralelas. Además se dedicó a los cuadrados mágicos y a la teoría de números. Su teorema de los números amigos es muy conocido.
  • Al-Battani
    850

    Al-Battani

    Al-Battani es considerado un gran matemático y astrónomo. Transmitió al mundo árabe los fundamentos de la matemática hindú y el concepto de cero. Pero, sobre todo, el mérito de Al-Battanis gira en torno a la trigonometría; fue el primero en utilizar el seno en lugar de las cuerdas. Halló y demostró por primera vez el teorema del seno, así como el hecho de que la tangente representa la relación entre el seno y el coseno.
  • Abu'l Wafa
    940

    Abu'l Wafa

    Abu'l Wafa hizo aportes significativos a la trigonometría. Fue el primero en introducir las funciones secante y cosecante y en utilizar la función tangente. Propuso también la definición de las funciones trigonométricas de la circunferencia unitaria. Además simplificó los métodos antiguos de la trigonometría esférica y demostró el teorema del seno para los triángulos esféricos en general.
  • Alhazen
    965

    Alhazen

    Alhazen fue un matemático, óptico y astrónomo árabe. Se dedicó principalmente a problemas de la geometría y, a través de una aplicación temprana del principio de inducción, encontró una fórmula para la suma de las cuartas potencias, pudiendo con ello calcular por primera vez el volumen del paraboloide.
  • Omar Jayam
    1048

    Omar Jayam

    Omar Jayyam fue un matemático y astrónomo persa. Halló la solución para las ecuaciones de tercer grado y sus raíces a través de su expresión geométrica. Se dedicó también principalmente al problema de las paralelas y a los números irracionales. Los desarrollos de su obra prevalecieron en álgebra durante mucho tiempo.
  • Fibonacci
    1180

    Fibonacci

    Leonardo da Pisa, más conocido como Fibonacci. Hoy en día se le conoce sobre todo por los números que llevan su nombre y conforman la sucesión de Fibonacci. A través del estudio de la geometría de Euclides, escribió un compendio de sus conocimientos matemáticos en su obra principal Liber abbaci.
  • Li Ye
    1192

    Li Ye

    Li Ye fue un matemático chino. Dejó como legado dos importantes libros acerca de cálculo de la superficie y perímetro del círculo, así como métodos de cálculo para reducir a ecuaciones algebraicas los problemas geométricos. Se reconoce también su aporte a la definición de los números negativos.
  • Zhu Shijie
    1303

    Zhu Shijie

    En su libro El precioso espejo de los cuatro elementos, escrito en el año 1303 elevó al álgebra china al más alto nivel. La obra incluye una explicación de su método de los cuatro elementos, el que se puede usar para representar ecuaciones algebraicas con cuatro incógnitas. Zhu aclaró como encontrar raíces cuadradas y aportó un complemento a la comprensión de las series y secuencias
  • Al Kashi
    1380

    Al Kashi

    En su obra r-Risala al-Muhitija determinó el perímetro de la circunferencia goniométrica (es decir, unitaria, cuyo perímetro es el doble del número π) en base al polígono regular de 3•228 lados, con una precisión de 9 posiciones sexagecimales: 6;16,59,28,01,34,51,46,14,50, las que convirtió a 16 posiciones decimales.
  • Piero della Francesca
    1415

    Piero della Francesca

    Se destacó por ser el primero en buscar soluciones matemáticas a los problemas de la representación del espacio en el plano bidimensional.
  • Regiomontanus
    1436

    Regiomontanus

    Johannes Müller de Königsberg, más tarde llamado Regiomontanus, fue un matemático, astrónomo Regiomontanus destaca como el fundador de la trigonometría moderna y reformador temprano del Calendario Juliano.
  • Luca Pacioli
    1494

    Luca Pacioli

    Su principal obra Summa de arithmetica geometría, proporzioni e proporzionalita está dividida en dos partes: la primera trata de aritmética y álgebra, principalmente describe reglas de las cuatro operaciones básicas y un método para extracción de raíces.
    La segunda parte está dedicada a temas de geometría.
  • Niccolò Fontana Tartaglia
    1499

    Niccolò Fontana Tartaglia

    Conocido por sus relevantes aportes en el tema de las ecuaciones de tercer grado y por la gran controversia en la que se vio envuelto en torno a la solución de las 13 ecuaciones de este tipo que entonces se distinguían.
  • 1500

    René Descartes

    Aparece la geometría de René Descartes con la resolución de problemas matemáticos mediante el álgebra
  • Gerolamo Cardano
    1501

    Gerolamo Cardano

    Matemático italiano. Cardano hizo importantes descubrimientos en el cálculo de probabilidades, así como también fue el primero en sugerir la existencia de números imaginarios.
    Cardano encontró un algoritmo para hallar la solución de las ecuaciones de tercer grado, la fórmula de Cardano, que lleva su nombre.
  • 1501

    Fundamentos de las derivadas

    La derivada de una función es una medida de la rapidez con la que cambia el valor de dicha función según cambie el valor de su variable independiente (x).
  • Michael Stifel
    1554

    Michael Stifel

    su obra principal es la Arithmetica integra, trata sobre números negativos, exponentes y secuencias numéricas. Esta obra contiene una tabla de enteros y potencias de 2, la que puede considerarse como una especie de tabla de logaritmos primitiva.
  • Robert Recorde
    1557

    Robert Recorde

    Introduce los símbolos matemáticos "=", "+" y "-"
  • Rafael Bombelli
    1572

    Rafael Bombelli

    Realiza cálculos con números complejos
  • Gérard Desargues

    Estudió las secciones cónicas y los problemas de la perspectiva (proyección central), en los que una cónica (elipse, parábola, hipérbola) aparece como la perspectiva de una circunferencia, definiendo así las bases de la geometría proyectiva. A partir de esto inventó la geometría proyectiva
  • Albert Girard

    Albert Girard

    En su Invention Nouvelle en Algebre, introduce por primera vez el uso de los paréntesis, explica el método de descomposición de un polinomio en factores, enuncia el teorema fundamental del álgebra y usa además el signo —— colocado entre el numerador y el denominador para indicar una fracción.
  • Francesco Bonaventura Cavalieri

    Exponía en Italia el método de los indivisibles sirviéndose de él, para el cálculo de cuadraturas, áreas y determinación de centros de gravedad
  • Desarrollo de simbolismos

    Se crean estudios de aritmética, álgebra, geometría y contabilidad de doble entrada; desarrollo de simbolismos
  • John Napier

    John Napier

    Introduce los logaritmos
    Los logaritmos fueron introducidos por John Napier a principios del siglo XVII como un medio de simplificación de los cálculos y fueron prontamente adoptados
  • René Descartes

    René Descartes

    Introduce la geometría analítica
    La geometría analítica es una rama de la geometría que estudia los cuerpos geométricos a través de un sistema de coordenadas. De ese modo, se pueden expresar las figuras como ecuaciones algebraicas.
  • Pierre de Fermat

    Pierre de Fermat

    Introduce el cálculo diferencial
    El cálculo diferencial consiste simplemente en calcular algebraicamente el límite de un cociente. Eso nos proporciona la pendiente de la recta tangente.
  • Isaac Newton

    Isaac Newton

    Desarrolla el cálculo infinitesimal
    Es una rama de la matemática que se dedica al estudio y comprensión de las razones de cambio.
  • Leibniz

    1700-1800 Leibniz realizó aportaciones al cálculo y al campo de la lógica.
  • De Analysis

    Aparece De Analysis, obra de Isaac Newton que consiste en reducir un problema a una expresión algebraica
  • Desarrollo de las series de Taylor

    Es una serie de potencias que se prolonga hasta el infinito, donde cada uno de los sumandos está elevado a una potencia mayor al antecedente.
  • Teorema de divergencia de Lagrange

    De forma más precisa, el teorema de la divergencia enuncia que la integral de superficie de un campo vectorial sobre una superficie cerrada es igual a la integral de volumen de la divergencia sobre la región dentro de la superficie.
  • Gottfried Leibniz

    Gottfried Leibniz

    Realizó aportaciones en el cálculo y el campo de la lógica
  • Leonhard Euler

    Leonhard Euler

    Contribuyó la teoría de números y el álgebra
  • Period: to

    EDAD DE ORO

    Edad de oro de las matemáticas Gauss desarrolló el teorema fundamental del álgebra
  • Period: to

    GEORGE PEACOCK

    George Peacock hizo una distinción entre el álgebra aritmética y simbólica
  • JOSEPH FOURIER

    JOSEPH FOURIER

    Descubre como descomponer funciones periódicas en series trigonométricas convergentes
  • BOLZANO

    BOLZANO

    Introduce el teorema del valor intermedio
  • CALCULO

    CALCULO

    MATEMATICO FRANCES, AUGUSTIN LOUIS CAUCHY CONSIGUIO UN ENFOQUE LOGICO Y APROPIADO DEL CALCULO
  • CHARLES BABBGE

    CHARLES BABBGE

    Diseñó una máquina capaz de realizar operaciones matemáticas automáticamente siguiendo una lista de instrucciones (programa) escritas en tarjetas o cintas.
  • TEOREMA INTEGRAL

    TEOREMA INTEGRAL

    Teorema integral de Auguistin Louis Cauchy
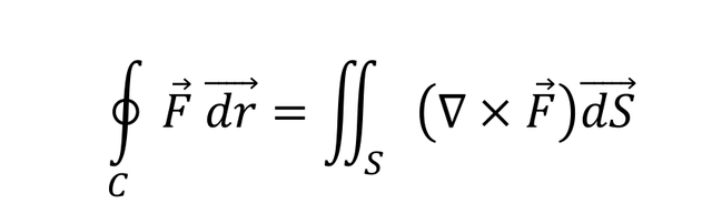
  • ANDRE MARIE AMPERE

    ANDRE MARIE AMPERE

    Descubre el teorema de Stokes
  • FRANCIS GUTHIERES

    FRANCIS GUTHIERES

    Enuncia el teorema de los cuatro colores
  • LA GEOMETRIA NO EUCLIDIANA

    LA GEOMETRIA NO EUCLIDIANA

    En esta geometría se pueden trazar al menos dos rectas paralelas a una recta dada que pasen por un punto que no pertenece a ésta. Aunque descubierta primero por Gauss, éste tuvo miedo de la controversia que su publicación pudiera causar. Los mismos resultados fueron descubiertos y publicados por separado por el matemático ruso Nikolái Ivánovich Lobachevski y por el húngaro János Bolyai.”
  • GEORG FROBENIUS

    GEORG FROBENIUS

    Desarrolla un método para resolver ecuaciones lineales con puntos singulares regulares
  • GEORG FERDINAD

    GEORG FERDINAD

    Demostró que el conjunto de los números enteros tenía el mismo número de elementos que el conjunto de los números pares, y que el número de puntos en un segmento es igual al número de puntos de una línea infinita, de un plano y de cualquier espacio.
  • CARL LOUIS LINDEMANN

    CARL LOUIS LINDEMANN

    Demuestra que π es tracedental por lo que el circulo no puede ser cuadrado con regla y compas
  • DAVID HILBERT

    DAVID HILBERT

    Presenta una serie de axiomas geométricos
  • Period: to

    TOPOLOGIA

    El álgebra se ha aplicado a una forma general de la geometría conocida como topología
  • Period: to

    ALGEBRA MODERNA

    Surgió el álgebra moderna y sus conceptos fundamentales
  • BROUWER

    BROUWER

    Enuncia el teorema del punto fijo
  • DIFFERENCE ENGINE

    DIFFERENCE ENGINE

    El Museo de la Ciencia de Londres construyó en 1991, el primer Difference Engine completo en honor al nacimiento de Charles Babbage.

Looking for a timeline maker?

Create timelines for projects, roadmaps, history, lessons, legal cases, and stories with Timetoast. Timetoast is a timeline maker for work, school, research, and stories.