Historia de Joseph-Louis Lagrange

  • Información inicial

    Información inicial

    También llamado Giuseppe Luigi Lagrangia nace el 25 de enero de 1736. Matemático, físico y astrónomo francés al que se le atribuye avances transcendentales en múltiples ramas de las matemáticas y la mecánica. Creó el cálculo de variaciones, sistematizó el campo de las ecuaciones diferenciales y trabajó en la teoría de números.
    Incluso, es considerado como "el matemático más grande de Europa."
  • Problemas de isoperimetría

    Problemas de isoperimetría

    A sus 19 años obtuvo fama resolviendo el llamado problema isoperimétrico, que había desconcertado a los matemáticos durante medio siglo. Lagrange no sólo había resuelto un problema, también había inventado un nuevo método de cálculo de variaciones, que sería el tema central de la obra de su vida. Expuso su demostración en una carta a Euler, quien quedó impresionado al comprobar que coincidía con sus propios resultados. Con la resolución de este problema Lagrange se situó en la élite matemática.
  • Academica de Ciencias de Turín

    Academica de Ciencias de Turín

    En 1758 Lagrange fue uno de los fundadores de la Academia de Ciencias de Turín. Publica sus principales trabajos, entre los que destaca Miscellanea taurinensia donde aparece una ecuación diferencial general del movimiento y su adaptación para el movimiento rectilíneo, así como la solución a problemas de dinámica mediante el cálculo de variantes. Escribió así mismo artículos sobre cálculo integral y ecuaciones diferenciales del movimiento de tres cuerpos sometidos a fuerzas de atracción mutuas.
  • Puntos de Langrage

    Puntos de Langrage

    A los 28 años Lagrange, ganó el Premio de la Academia de Ciencias de París por un artículo sobre el movimiento de libración de la Luna, pequeñas oscilaciones del satélite que permiten ver una parte de su cara oculta. Su interés por la astronomía es palpable cuando se interesó por el movimiento de tres cuerpos bajo la acción de la gravedad y descubrió los Puntos de Lagrange, regiones situadas en la transición de gravedad de un cuerpo con respecto a otro.
  • Director Academia Ciencias de Berlín

    Director Academia Ciencias de Berlín

    En 1766 Lagrange sustituyó a Euler al frente de la Academia de Ciencias de Berlín. Tenía 30 años y se cuenta que Federico el Grande de Prusia dijo al respecto: "es lógico que el rey más grande de Europa tenga en su corte al matemático más grande de Europa". Lagrange aceptó la oferta y durante los siguientes veinte años en Prusia, produjo la serie más grande de documentos científicos publicada hasta entonces en Berlín.
  • Teoría de Números

    Teoría de Números

    En su etapa en Berlín, Lagrange trabajo en Astronomía, Mecánica, Dinámica, Probabilidad, Teoría de Números (demostró que todo entero positivo es suma de 4 cuadrados, que n es primo, si y sólo si, (n – 1)! + 1 es divisible por n), Cálculo, resolución de ecuaciones algebraicas.
  • Mecánica Lagrangiana

    Mecánica Lagrangiana

    En 1772 Lagrange comienza a reformular la mecánica clásica de Isaac Newton para simplificar fórmulas y facilitar los cálculos; llamada mecánica Lagrangiana, y origen de la mecánica analítica.
  • Cálculo diferencial

    Cálculo diferencial

    Escribió gran variedad de tratados sobre astronomía, resolución de ecuaciones, cálculo de determinantes de segundo y tercer orden, ecuaciones diferenciales y mecánica analítica. Sus enseñanzas sobre cálculo diferencial forman la base de sus obras Teoría de las funciones analíticas y resolución de ecuaciones numéricas. Sin embargo, sufrió un ataque de melancolía y durante dos años vivió en una especie de letargo del que despertó a causa de la Revolución Francesa.
  • Mécanique analytique

    Mécanique analytique

    Escribe «Tratado de Mecánica Analítica». En este tratado recoge, completa y unifica los conocimientos desde Newton. Este libro es una apología de la utilización de las ecuaciones diferenciales en mecánica. Con la ayuda del cálculo diferencial, deduce toda la mecánica de sólidos y fluidos. Cabe destacar que es su primera edición de Mécanique analytique
  • Escuela Politécnica

    Escuela Politécnica

    En 1793 comenzó el llamado Reino del Terror. La Academia de las Ciencias fue suprimida, sólo la Comisión de Pesos y Medidas sobrevivió y Lagrange fue nombrado director de la Escuela Politécnica, en la que impartió conferencias que tratan sobre cálculo diferencial.
    De esa época son sus obras 'Teoría de las funciones analíticas', 'Tratado de la resolución de las ecuaciones numéricas' y 'Lecciones sobre el cálculo de las funciones'.
  • École Normale

    École Normale

    En 1795 Lagrange ocupó una cátedra matemática honorífica en la École Normale que disfrutó solo durante cuatro meses, ya que la école fue cerrada. Sus conferencias aquí eran bastante elementales, y no contienen nada de importancia especial. Ese mismo año fue nombrado uno de los diez miembros originales del comité fundador del Bureau des Longitudes.
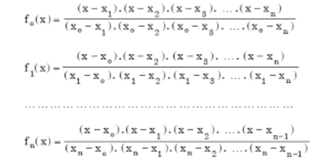
  • Interpolación de Langrage

    Interpolación de Langrage

    Su resolución de ecuaciones numéricas fueron fruto de sus conferencias en la Escuela Politécnica. En él muestra el método de aproximar las raíces reales de una ecuación por medio de fracciones continuas. Además, muestra el teorema de Fermat: para completar la ecuación binomial. Escribe Résolution des équations numériques.
  • Mécanique analytique

    Mécanique analytique

    En 1811 comenzó una revisión completa de su Mecánica Analítica, aunque no pudo terminarla debido a su muerte. Cabe destacar que fue su segunda edición.
    Además, en este justifica el empleo de los infinitesimales en el cálculo diferencial.
  • Muerte

    Muerte

Plan projects on a visual timeline

Map milestones, phases, deadlines, and key events in one place so the sequence is easier to see and share. Timetoast is a timeline maker for work, school, research, and stories.