Mate

Grandes Matemáticos

By YaGui
  • René Descartes

    René Descartes

    Nació en La Haye (Turaine; Francia) el 31 de Marzo de 1.596 y murió en Estocolmo (Suecia)
  • Pierre de Fermat

    Pierre de Fermat

    Fermat nació cerca de Toulouse, en un pueblo llamado Beaumont-de-Lomagne (entonces parte de la Gascoña y hoy en el departamento de Tarn et Garonne).
  • René Descartes y su Educación

    René Descartes y su Educación

    Fue educado en el colegio de La Flèche, regentado por los jesuitas y considerado uno de los más famosos de Europa; allí permaneció entre 1.604 y 1.615, estudiando a los clásicos.
  • Espiral de Fermat

    Espiral de Fermat

    También conocida como espiral parabólica, es una curva que responde a la siguiente ecuación en coordenadas polares
  • Pierre de Fermat y su educación

    Pierre de Fermat y su educación

    Después de la etapa en Burdeos reingresó en la universidad, esta vez en Orléans, donde obtuvo su título en Leyes hacia 1631, año en que se instala en Toulouse en calidad de consejero del Parlamento de Toulouse.
  • Números Amigos de Fermat

    Números Amigos de Fermat

    Fermat descubrió que 17.296 y 18.416 eran una pareja de números amigos, además de redescubrir una fórmula general para calcularlos, conocida por Tabit ibn Qurra, alrededor del año 850.
  • La obra más importante de René Descartes fue El Discurso del Método

    La obra más importante de René Descartes fue El Discurso del Método

    Dentro de esta obra, lo más destacado son tres apéndices : -La Dioptrique, un tratado sobre óptica que recopila las ideas existentes entonces sobre el tema y recoge algunas aportaciones propias originales.
    -Les Météores, un tratado sobre meteorología.
    -La Géométrie, un tratado sobre geometría, que es, sin lugar a dudas, su mayor aportación a la ciencia y en concreto a las matemáticas.
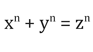
  • Ultimo Teorema de Fermat

    Ultimo Teorema de Fermat

    Es imposible encontrar la forma de convertir un cubo en la suma de dos cubos, una potencia cuarta en la suma de dos potencias cuartas, o en general cualquier potencia más alta que el cuadrado, en la suma de dos potencias de la misma clase. He descubierto para el hecho una demostración excelente. Pero este margen es demasiado pequeño para que (la demostración) quepa en él.
    Pierre de Fermat
  • Isaac Newton

    Isaac Newton

    Isaac Newton nació el 4 de enero de 1643 (aunque en ese entonces el calendario usado era el juliano), y correspondía al 25 de diciembre de 1642, día de la Navidad.
    El parto fue prematuro aparentemente y nació tan pequeño que nadie pensó que lograría vivir mucho tiempo.
    Su vida corrió peligro por lo menos durante una semana. Fue bautizado el 1 de enero de 1643, 12 de enero en el calendario gregoriano.
  • Gottfried Leibniz

    Gottfried Leibniz

    Nació el 1 de julio de 1646 en Leipzig, dos años antes de que terminara la Guerra de los Treinta Años
  • Muerte de René Descartes

    Muerte de René Descartes

    Murió en Estocolmo (Suecia) el 11 de Febrero de 1.650 a causa de una afección pulmonar.Descartes tuvo una vida muy agitada y repleta de viajes.Allí en Estocolmo no pudo soportar el rigor del invierno sueco y falleció inesperadamente, víctima de una afección pulmonar, cuando sólo contaba cincuenta y cuatro años de edad.
  • Isaac Newton y su educación

    Isaac Newton y su educación

    A los 12 años comenzó a cursar sus estudios elementales en la escuela primaria de Grantham. En 1661, a los 18 años de edad, ingresó en el Trinity College de la Universidad de Cambridge para estudiar matemáticas bajo la tutela de Isaac Barrow.
  • Gottfried Leibniz  y su educación

    Gottfried Leibniz y su educación

    En 1661, a la edad de catorce años, se matriculó en la Universidad de Leipzig y completó sus estudios a los veinte años, especializándose en leyes y mostrando dominio de los clásicos, lógica y filosofía escolástica. Sin embargo, su educación en matemáticas no estaba a la altura de franceses o británicos.
  • Muerte de Pierre de Fermat

    Muerte de Pierre de Fermat

    Pierre de Fermat murió el 12 de enero de 1665 en Castres, en el departamento actual de Tarn
  • La Stepped Reckoner de Gottfried Leibniz

    La Stepped Reckoner de Gottfried Leibniz

    La Stepped Reckoner, tal como la llamó, estuvo lista en 1672 y fue la primera que permitió realizar operaciones de adición, sustracción, multiplicación y división. En 1673 ya la presentaba a algunos de sus colegas de la Academia de Ciencias de Francia.
  • Isaac Newton y la ley de la gravitación universal

    Isaac Newton y la ley de la gravitación universal

    Con una simple ley, Newton dio a entender los fenómenos físicos más importantes del universo observable, explicando las tres leyes de Kepler. La ley de la gravitación universal descubierta por Newton
  • Gottfried Leibniz Explication de l’Arithmétique Binaire

    Gottfried Leibniz Explication de l’Arithmétique Binaire

    El sistema de Leibniz usa los números 1 y 0 para representar todas las combinaciones numéricas, a diferencia del sistema decimal.
  • Leonhard Euler

    Leonhard Euler

    Nació en Basilea, Suiza. Desde temprana edad demostró una gran habilidad para los números y le permitió ganar la admiración del patriarca de los Bernoulli.
  • Muerte de Gottfried Leibniz

    Muerte de Gottfried Leibniz

    Leibniz falleció en Hannover en 1716: para entonces, estaba tan fuera del favor en la Corte que ni Jorge I (quien se encontraba cerca de Hannover en ese momento) ni ningún otro cortesano, más que su secretario personal, asistieron al funeral. Aun cuando Leibniz era miembro vitalicio de la Royal Society y de la Academia Prusiana de las Ciencias, ninguna de las dos entidades consideró conveniente honrar su memoria.
  • Leonhard Euler y su educación

    Leonhard Euler y su educación

    -A la edad de 13 años se matriculó en la Universidad de Basilea y en 1723 recibió el título de maestro de Filosofía
    -En 1726 se doctoró con una tesis sobre la propagación del sonido bajo el título De Sono​
  • Muerte de Isaac Newton

    Muerte de Isaac Newton

    Newton murió a los 84 años, fue enterrado en la Abadía Real de Westminster, junto con los grandes de Inglaterra.
  • Introduction in Analysi Infinitorum de Leonhard Euler

    Introduction in Analysi Infinitorum de Leonhard Euler

    Introductio in Analysi Infinitorum en este libro se muestra resultados sobre desarrollos y aportes de los principales conceptos que habían obtenido Leibniz, Bernoulli e Isaac Newton sus predecesores.
    -Realizó la introducción del concepto de logaritmo, en la que hace una interpretación como un exponente por primera vez.
    -Una función de cantidad variable es una expresión analítica formada de cualquier manera por esta cantidad variable y por números o cantidades constantes.
  • Carl Friedrich Gauss

    Carl Friedrich Gauss

    Johann Carl Friedrich Gauss nació en el Ducado de Brunswick, Alemania, el 30 de abril de 1777, en una familia humilde.
  • Muerte de Leonhard Euler

    Muerte de Leonhard Euler

    En San Petersburgo el 18 de septiembre de 1783, después de un almuerzo con su familia, Euler estaba discutiendo sobre el recién descubierto planeta Urano y su órbita con un compañero académico, Anders Johan Lexell , cuando se derrumbó por una hemorragia cerebral . Él murió unas cuantas horas después
  • Carl Friedrich Gauss y educación

    Carl Friedrich Gauss y educación

    -Desde muy pequeño, Gauss mostró su talento para los números y las lenguas. Aprendió a leer solo y, sin que nadie lo ayudara, aprendió muy rápido la aritmética elemental desde muy pequeño.
    -A los doce años ya miraba con cierto recelo los fundamentos de la geometría. A los catorce años, fue presentado ante el duque de Brunswick.
    - Gauss ingresó al Collegium Carolinum para continuar sus estudios, y lo que sorprendió a todos fue su facilidad para las lenguas.
  • Carl Friedrich Gauss y el polígono de 17 lados

    Carl Friedrich Gauss y el polígono de 17 lados

    Demostró que se puede dibujar un polígono regular de 17 lados con regla y compás.
  • Carl Friedrich Gauss y su  libro Disquisitiones arithmeticae

    Carl Friedrich Gauss y su libro Disquisitiones arithmeticae

    En 1801 publicó el libro Disquisitiones arithmeticae, con seis secciones dedicadas a la teoría de números, dándole a esta rama de las matemáticas una estructura sistematizada. En la última sección del libro expone su tesis doctoral. Ese mismo año predijo la órbita de Ceres aproximando parámetros por mínimos cuadrados.
  • Ley de Gauss

    Ley de Gauss

    En 1835 Carl Friedrich Gauss formularía la ley de Gauss, o teorema de Gauss.3​ Esta ley sería una de sus contribuciones más importantes en el campo del electromagnetismo, y de ella derivarían dos de las cuatro ecuaciones de Maxwell.
  • Muerte de Carl Friedrich Gauss

    Muerte de Carl Friedrich Gauss

    Gauss murió en Gotinga el 23 de febrero de 1855.

Want to make a timeline like this?

Use Timetoast to turn dates, events, milestones, and phases into a clear visual timeline you can build and share. Timetoast is a timeline maker for work, school, research, and stories.