Función lineal

  • Reseña Historica

    Reseña Historica

    En matemáticas, la función, es usada para indicar la relación o correspondencia entre dos o más cantidades, este término (función) fue usado por primera vez en 1637 por el matemático francés René Descarte
  • RESEÑA HISTÓRICA

    RESEÑA HISTÓRICA

    en 1694 el matemático alemán Gottfried Wilhelm Leibniz utilizó el término(función) para referirse a varios aspectos de una curva, como su pendiente
  • RESEÑA HISTORICA

    RESEÑA HISTORICA

    Hasta que recientemente, su uso más generalizado ha sido el definido en 1829 por el matemático alemán, J.P.G. Lejeune-Dirichlet (1805-1859), quien escribió: "Una variable es un símbolo que representa un número dentro de un conjunto de ello. Dos variables x y y están asociadas de tal forma que al asignar un valor a x entonces, por alguna regla o correspondencia, se asigna automáticamente un valor a y, se dice que y es una función (unívoca) de x.
  • función lineal

    función lineal

    Dentro de la gran variedad de funciones existentes, la función lineal es una de las mas sencilla de trabajar y es de suma importancia en el estudio de las ciencias. Ella es el punto de partida para lograr obtener buenos modelos sobre el comportamiento de la naturaleza.
  • Plano Cartesiano

    Plano Cartesiano

    La unidad temática se inicia con un breve repaso sobre el plano cartesiano,
  • Ecuaciones y fórmulas

    Ecuaciones y fórmulas

    Es la forma de representar una función por medio de una expresión escrita en la que se
    explicita la relación entre las variables, esta expresión analítica puede ser algebraica
    (polinómica) o no y, corresponde a la regla de correspondencia o dependencia entre
    cantidades o magnitudes
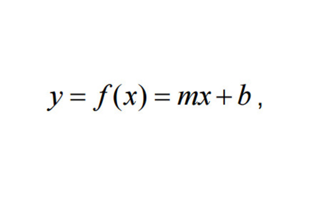
  • definición de la función lineal

    definición de la función lineal

    Una función lineal tiene la expresión analítica y = f (x) = mx + b , Donde m y b son números reales y m diferente de cero.
    m es la pendiente o razón de cambio de y con respecto a
    x y, bes la intersección de la gráfica con el eje vertical.
  • Gráfica de una función lineal

    Gráfica de una función lineal

    La gráfica de una función lineal se considera como la representación geométrica de la
    misma, es importante debido a la posibilidad de análisis y la observación de atributos de
    la función como son la pendiente (inclinación) e interceptos con los ejes
  • Interceptos

    Interceptos

    Una recta ubicada en un sistema de coordenadas cartesianas tiene como una de sus
    características que si
    m diferente 0
    entonces la recta corta o interseca al eje vertical y al
    horizontal, es decir al eje Y y eje X respectivamente; a cada uno de estos dos interceptos
    se denomina y-intercepto y x-intercepto
  • APLICACIÓN

    APLICACIÓN

    Se tiene una vela de parafina corriente cuya altura es de 4,5 cm y su diámetro 4 mm. Al
    encenderla es evidente que se consumirá. ¿Cuánto tiempo tarda en derretirse?
    Al realizar un análisis sobre esta situación surgen interrogantes como: ¿Qué tan rápido se consumirá la vela?¿El desgaste de la vela se dará con la misma rapidez en todo momento?¿Cómo expresar la rapidez con la que se desgasta la vela?Al medir el tamaño de la vela gradualmente. ¿Disminuirá constantemente?
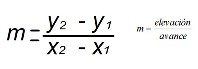
  • Pendiente

    Pendiente

    La inclinación de una recta esté o no graficada en un plano cartesiano es un atributo
    posible de ser caracterizado y determinado desde naciones primitivas producto de
    experiencias vividas o la sola intuición producto de la observación, dicho atributo es la
    pendiente o razón de cambio de la función lineal; la cual se entiende como la razón entre
    la elevación y el avance.

Looking for a timeline maker?

Create timelines for projects, roadmaps, history, lessons, legal cases, and stories with Timetoast. Timetoast is a timeline maker for work, school, research, and stories.