Descarga

Factorizacion

  • Que es la factorización?
    1 CE

    Que es la factorización?

    La factorización es una herramienta usada por los matemáticos para transformar una expresión algebraica, para resolver algún problema. https://www.youtube.com/watch?v=AJ57CPg7Hsw
  • La primera vez
    2

    La primera vez

    La primera vez fue hacia el año 400 y fueron los Babilonios. Usaron el método que actualmente se conoce como “completar el cuadrado perfecto”, para realizarlo se basaron en factorizaciones simples que ya conocían.
  • 3

    Posteriormente

    Los griegos y los árabes consiguieron resolver ecuaciones de segundo grado, utilizando el método de completar el cuadrado, pero ellos le añadieron la aplicación de áreas.
  • 4

    Primera Propuesta

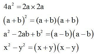
    Lo cual equivale a la propiedad distributiva de la multiplicación respecto a la adición: ab+ac+ad=a(b+c+d) “si hay dos rectas y una de ellas se corta en un numero cualquiera de segmentos, el rectángulo comprendido por las dos rectas es igual a los rectángulos obtenidos por la recta no cortada y cada uno de los segmentos”
  • Segunda Propuesta
    5

    Segunda Propuesta

    Para resolver ecuaciones de la forma “aX²+bX=c” los griegos y los árabes desarrollan un procedimiento para encontraron numero x tal que X²+4X=140 luego cambiaban las figuras de la siguiente forma ya que consideraban X como el lado de un área X² y a 4X como el área de un rectángulo de lados 4 y X, respectivamente en consecuencia, X² + 4X es el área de la figura.
    Luego cambiaban figuras de la siguiente forma:
  • 6

    Segunda propuesta - 2

    De esta manera, el área de la región sombreada equivale a 140 (pues corresponde a X² +4X) unidades cuadradas y el área del cuadrado en blanco es 4 unidades cuadradas; es así, como el área total corresponde 144, luego el lado del cuadrado grande llamémoslo Y es 12, de donde X=10 unidades.
  • Euclides de Alejandría - Parte-1
    7

    Euclides de Alejandría - Parte-1

    Fue el primer matemático que planteo y recopilo los conceptos básicos de la factorización de números, trata a los números como objetos que se presentan por medio de segmentos y en consecuencia, Euclides emplea las expresiones “esta medido por” y “mide a”, para referirse a los conceptos múltiplo y divisor, respectivamente.
  • 8

    Euclides de Alejandría - Parte-2

    En términos modernos, si a, b y c son números enteros tales que cumplen la igualdad ab = c, se dice que a y b son factores o divisores de c, y que c es un múltiplo de a y de b.
    Si a tiene únicamente dos divisores distintos (1 y el mismo), se dice que a es un numero primo, los demás son números compuestos.
  • 9

    Euclides de Alejandría - Parte-3

    Euclides enuncia también el que se conoce en la actualidad como el teorema fundamental de la aritmética, demostrado formalmente, siglos después, por Carl Friedrich Gauss:
    Si a es un numero entero tal que a = 0 y a = ±1, entonces a se puede expresar como el producto de números primos por ±1: a = (±1) p1, p2… pn, y esta descomposición es única salvo el orden de los factores.
  • La factorización moderna
    10

    La factorización moderna

    El desarrollo moderno de la factorización se inicia en el Renacimiento italiano, hacia el año 1545, con la publicación del Ars Magna de Girolamo Cardano (1501-1576), en el cual se demuestran las soluciones para la ecuación Ferrari (1522-1565) y el mismo, obtenidas a partir de un procedimiento sistemático completando el cuadrado, de una manera conveniente, para llegar a la solución.
  • Niels Henrik Abel
    11

    Niels Henrik Abel

    Creyó haber encontrado la solución; el mismo encontró el error en su demostración y en 1824 público “sobre la resolución algebraica de ecuaciones”, donde demuestra la imposibilidad de hallar alguna solución por radicales para la ecuación de quinto grado, acabando de esta manera con la búsqueda infructuosa de muchos matemáticos.
  • 12

    Lagrange, Legendre, Gauss y Abel, Evariste Galois

    A partir de los trabajos de Lagrange, Legendre, Gauss y Abel, Evariste Galois (1811-1832) logro determinar cuáles ecuaciones polinómicas de grado superior a cuatro eran solubles por radicales y cuáles no, estudiando las permutaciones de las raíces de la ecuación. El conjunto de estas raíces conforman una estructura de grupo, concepto introducido por el e incorporado a la teoría de ecuaciones algebraicas.

A list shows items. A timeline shows sequence.

Use Timetoast to make dates, milestones, and turning points easier to understand in a clear visual format. Timetoast is a timeline maker for work, school, research, and stories.