EVOLUCIÓN HISTÓRICA DE LAS IDENTIDADES TRIGONOMÉTRICAS

  • Uso de la cotangente de un ángulo para la construcción de pirámides
    3100 BCE

    Uso de la cotangente de un ángulo para la construcción de pirámides

    En la construcción de las pirámides se tenia que mantener una pendiente uniforme en cada cara y la misma en las cuatro esto llevo a los egipcios a introducir un concepto llamado seqt que significa la separación horizontal dé una recta oblicua del eje vertical por unidad de variación en la altura lo cual es equivalente a la cotangente de un ángulo
  • Las relaciones entre los ángulos centrales en un círculo y las longitudes de las cuerdas en grecia
    1200 BCE

    Las relaciones entre los ángulos centrales en un círculo y las longitudes de las cuerdas en grecia

    La primera vez que se encontraron estudios sistemáticos de las relaciones entre los ángulos centrales en un círculo y las longitudes de las cuerdas que la subtienden fue con los griegos
  • Uso de los conocimientos sobre las circunferencia
    460 BCE

    Uso de los conocimientos sobre las circunferencia

    Los griegos de la época de Hipócrates ya
    estaban familiarizados con las propiedades de las
    cuerdas tomadas como medidas de ángulos centrales
    e inscritos en una circunferencia, por lo que es posible
    que se hayan usado este tipo de medidas para
    determinar el tamaño de la Tierra y las distancias
    relativas del Sol y la Luna.
  • Primera tabla trigonométrica
    200 BCE

    Primera tabla trigonométrica

    El astrónomo Hiparco de Nicea compuso la primera tabla trigonométrica quien por ello es conocido
    como el padre de la trigonometría, pues fue él
    quien se preocupó por tabular los valores
    correspondientes de arcos y cuerdas para una serie
    completa de ángulos y también fue el autor de la primera tabla con los valores de las cuerdas de los arcos de un círculo y gracias a esta tabla se pudo haber comenzado a utilizar el circulo completo de 360°
  • El Almagesto
    200 BCE

    El Almagesto

    La obra de trigonometría más significativa de toda la antigüedad fue una escrita en trece libros por Ptolomeo de Alejandría: sintaxis matemática. Esta obra debe mucho a las cuerdas del círculo de Hiparco, aunque al respecto no se ha podido determinar en qué medida.
  • Teorema de Ptolomeo
    150 BCE

    Teorema de Ptolomeo

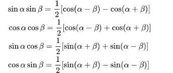
    Para la construcción de las cuerdas, jugó un papel importante la proposición geométrica que se conoce como el Teorema de Ptolomeo. Un caso especial de este teorema son las cuatro fórmulas de sumas y diferencias de ángulos que se conocen como fórmulas de Ptolomeo.
  • 100 BCE

    Identidades

    Sobre identidades aparece Menelao de Alejandría con varias obras matemáticas y astronómicas entre la que se encuentran Elementos de geometría. En ésta existen tres libros: en el libro I se establecen las bases para un estudio de los triángulos esféricos, en el libro II trata sobre las aplicaciones de la geometría esférica y en el libro III y el último de ellos, contiene el “teorema de Menelao”
    formando una geometría o trigonometría de cuerdas en un círculo.
  • Identidades
    100 BCE

    Identidades

    Menelao y probablemente Hiparco conocían algunos
    tipos de identidades, dos de las cuales, Menelao hizo
    uso para demostrar su teorema sobre transversales. Los teoremas de Tales y de Pitágoras, que conducen a la ecuación AB2+AB’2=4r2, son equivalentes a la identidad trigonométrica moderna sen2θ+cos2θ=1
  • Aportes de la cultura hindú
    600

    Aportes de la cultura hindú

    La cultura hindú introdujo lo equivalente a la función seno para reemplazar las tablas de cuerdas griegas y desarrollaron los conceptos de algunas funciones trigonométricas
  • Tres aportes fundamentales de los arabes
    600

    Tres aportes fundamentales de los arabes

    Los árabes dieron tres aportes fundamentales a la trigonometría:
    1. El establecimiento de un conjunto de funciones trigonométricas básicas: seno y coseno, tangente y cotangente, secante y cosecante
    2. La deducción de la regla del seno y la obtención de otras
    ecuaciones trigonométricas
    3. La obtención de tablas trigonométricas muy precisas con métodos de interpolación
  • Sistema de medida
    1500

    Sistema de medida

    Se tomó la circunferencia de 360°, pues al parecer desde la
    época de Hiparco, ya se usaba en Grecia dicha medida. Como el sistema de numeración babilónico era superior al griego, entonces
    Ptolomeo subdividió sus grados en 60 partes (minutos) y cada una de ellas en otras 60 partes (segundos), también uso este sistema de
    numeración para dividir el diámetro de su círculo en 120 partes, cada una de estas está dividida en 60 minutos y cada minuto de longitud en 60 segundos de longitud.
  • Mayor aparición de las identidades trigonométricas
    1579

    Mayor aparición de las identidades trigonométricas

    Viéte se puede considerar como el padre del enfoque analítico general de la trigonometría. Calculó unas extensas tablas de
    las seis funciones trigonométricas. Empezaron a aparecer todo tipo de identidades trigonométricas, esto se dio porque se hizo un mayor énfasis a las relaciones de tipo analítico. Entre estas identidades,
    apareció un grupo de fórmulas que se conocen como
    “reglas de prostafairesis” la cual es una palabra griega que significa
    suma y resta

A list shows items. A timeline shows sequence.

Use Timetoast to make dates, milestones, and turning points easier to understand in a clear visual format. Timetoast is a timeline maker for work, school, research, and stories.