Portada

Descubriendo la Ecuación Cuadrática

By edswing
  • Aparaciones
    1600 BCE

    Aparaciones

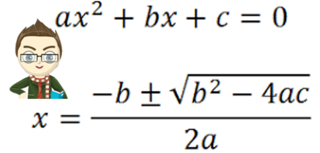
    se evidencia de que los babilonios, alrededor del año 1 600 a.C., ya conocían un método para resolver ecuaciones de segundo grado,aunque no tenían una notación algebraica para expresar la solución. Imagen tomada link
  • Egipto adaptando modelo
    1000 BCE

    Egipto adaptando modelo

    Cuando el Nilo se crecía y entraba a los terrenos de los egipcios usaban el modelo de los babilónicos para redifinir los limites de sus terrenos
  • Ejercitando
    214

    Ejercitando

    Diofanto de Alejandría, se dispuso en el tema de la solución de problemas de segundo grado facilitando a las nuevas generaciones
  • Aporte de galileo

    Aporte de galileo

    Prosiguiendo con su sed de analizar los movimientos Galileo observo que los proyectiles siguen, en el vacío, trayectorias parabólicas.
  • Plano Cartesiano

    Plano Cartesiano

    René Descartes da lugar a la aparición de un nuevo tipo de geometría: la Geometría Analítica. A través de ella relaciona las diferentes ecuaciones entre ellas exhibir las curvas con ecuaciones de segundo grado.
    Imagen tomada:
    https://sites.google.com/site/geometriaanalitica3o/introduccin
  • Johan de Witt

    Johan de Witt

    En sus estudios de investigación obtuvo las formas canónicas de las ecuaciones de segundo grado, aplicando traslaciones y giros. Además, identifica cada ecuación con el tipo de curva que la representa.
  • La posición con respecto a la gravedad

    La posición con respecto a la gravedad

    Isaac Newton observo que la atracción que ejercen dos cuerpos entre sí es inversamente proporcional al cuadrado de la distancia que hay entre ellos, por lo cual Newton usó la función cuadrática para caracterizar la Ley de Gravitación Universal. Imagen tomada https://www.fisicalab.com/apartado/graficas-campo-gravitatorio
  • Características parábola

    Características parábola

    Leibniz fue el primer matemático en emplear la noción de función cuadrática explícitamente para denotar conceptos geométricos derivados de una curva de ecuación de segundo grado, como abscisa, ordenada, tangente, cuerda y perpendicular Imagen tomada https://es.scribd.com/document/357025043/113-119
  • Acotando el concepto

    Acotando el concepto

    Huygens, por medio de herramientas de calculo diferencia, demostró que la curva que describe una cadena suspendida por sus extremos no era una parábola como se creía hasta entonces..
  • Definiciones Establecidas

    Definiciones Establecidas

    Introdujo gran parte de la moderna terminología y notación matemática, particularmente para el área del análisis matemático, como por ejemplo la noción de función matemática, y, en particular de función cuadrática.
  • Dedicándose a resolver

    Dedicándose a resolver

    Lagrange envió el mayor número de sus artículos de álgebra a la Academia de Berlín, destacando su discusión de la solución enteras de las funciones cuadráticas, y generalmente de ecuaciones indeterminadas,

Want to make a timeline like this?

Use Timetoast to turn dates, events, milestones, and phases into a clear visual timeline you can build and share. Timetoast is a timeline maker for work, school, research, and stories.