Images

Desarrollo y contribución de la teoría de curvas y de superficies.

  • Arquímedes de Siracusa (ca. 287-212 a. C.)
    225 BCE

    Arquímedes de Siracusa (ca. 287-212 a. C.)

    Considerado como el matemático más grande de la antigüedad, en su obra "Sobre espirales" define su espiral de la siguiente manera "Si una línea recta dibujada en un plano gira uniformemente cualquier número de veces alrededor de un extremo fijo hasta que regresa a su posición original y si, al mismo tiempo que la línea gira, un punto se mueve uniformemente a lo largo de la línea recta comenzando en el extremo fijo, el punto describirá una espiral en el plano"
  • Espiral de Arquimedes
    225 BCE

    Espiral de Arquimedes

    Es decir, esta curva es generada por la combinación de dos movimientos uniformes: uno rectilíneo y otro rotacional, simultáneamente.Ademas entre las características de la espiral de Arquímedes estan: que entre dos espiras, la distancia es la misma, la expansión y la rotación tienen lugar a la misma velocidad, el vínculo entre ellas es lineal y el área de la espiral en su primera vuelta es igual a la tercera parte del área del círculo que la envuelve
  • Leonhard Paul Euler  (15 de abril de 1707 - 18 de septiembre de 1783)

    Leonhard Paul Euler (15 de abril de 1707 - 18 de septiembre de 1783)

    • 1735 Definió la función exponencial para números complejos, y descubrió su relación con las funciones trigonométricas.
    • Para cualquier número real φ, la fórmula de Euler establece que la función exponencial compleja puede establecerse mediante la siguiente fórmula:e^(i*gamma)=cos(gamma)+sen(i*gamma)
  • Teorema de Euler para poliedros

    Teorema de Euler para poliedros

    consiste en buscar una relación entre número de caras, aristas y vértices en los poliedros. Utilizó esta idea para demostrar que no existían más poliedros regulares que los sólidos platónicos conocidos hasta entonces. En campo de la geometría analítica descubrió además que el baricentro, ortocentro y circuncentro podían obedecer a una misma ecuación, es decir, a una misma recta. A la recta se le denomina Recta de Euler en su honor.
  • Gaspard Monge (10 de mayo de 1746-28 de julio de 1818)

    Gaspard Monge (10 de mayo de 1746-28 de julio de 1818)

    Creador junto con Euler y Jean Baptiste Meusnier de los primeros teoremas de geometría diferencial. Realizó importantes estudios sobre las aplicaciones del Análisis Matemático a las propiedades de tipo infinitesimal de curvas y superficies y sentó las bases a partir de las cuales se desarrollarían los primeros estudios de Geometria descriptiva y analítica.
  • Geometríe descriptive

    Geometríe descriptive

    A partir de apuntes tomados por sus alumnos, en la Escuela Politécnica (Francia) se realizaron varias publicaciones de sus cursos, entre las que destacó Geometríe descriptive (1799). Fue el primero en emplear de forma sistemática las ecuaciones en derivadas parciales para el estudio de las superficies.
  • Georg Friedrich Bernhard Riemann (1826-1866)

    Georg Friedrich Bernhard Riemann (1826-1866)

    Su nombre está conectado con la función zeta, la hipótesis de Riemann, la integral de Riemann, el lema de Riemann, las variedades de Riemann, las superficies de Riemann y la geometría de Riemann.
    La tesis de Riemann estudió la teoría de variables complejas y, en particular, lo que ahora llamamos superficies de Riemann. Por lo tanto, introdujo métodos topológicos en la teoría de funciones complejas.
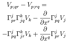
  • Tensor de curvatura.

    Tensor de curvatura.

    El tensor de Riemann surge como consecuencia del análisis involucrado en dar respuesta a lo que parece ser una pregunta sencilla. Empezando con un tensor covariante V = (Vi) y tomando la derivada covariante del tensor primero con respecto a la coordenada x_j y luego con respecto a la coordenada x^k nos produce un tensor de tercer orden: ((V_i);_ j); k = (V_i);_ jk = V_i; jk
  • La conferencia de Riemann

    Había dos partes en la conferencia de Riemann. En la primera parte planteó el problema de cómo definir un espacio n-dimensional y terminó dando una definición de lo que hoy llamamos un espacio riemanniano. Posee líneas más cortas, ahora llamadas geodésicas, que se asemejan a las líneas rectas ordinarias.La segunda parte d Riemann planteó preguntas sobre la relación de la geometría con el mundo en que vivimos.El objetivo de la conferencia fue la definición del tensor de curvatura.
  • William Paul Thurston  (30 de octubre de 1946 - 21 de agosto de 2012)

    William Paul Thurston (30 de octubre de 1946 - 21 de agosto de 2012)

    Uno de los grandes matemáticos estadounidenses del siglo XX,Una de sus contribuciones más importantes,fue la conjetura de geometrización, en 1970, pero fue Perelman quien la demostró, en 2003.Su tesis doctoral, se centró en el estudio de foliaciones en variedades de dimensión 3 (1972).
    Fue acreedor a:
    Oswald Veblen en Geometría (1976),
    National Academy of Sciences (1983)
  • Repercucion  para G. Perelman

    Repercucion para G. Perelman

    La conjetura de geometrización afirma que cualquier espacio de tres dimensiones se puede descomponer en trozos más simples, y que la geometría de cada uno de estos pedazos puede ser solamente de ocho maneras diferentes, dentro de una clasificación que él había definido.

Plan projects on a visual timeline

Map milestones, phases, deadlines, and key events in one place so the sequence is easier to see and share. Timetoast is a timeline maker for work, school, research, and stories.