Colin Parts Journal Page

  • Started

    Started

    Started really studying in earnest, beginning with parametrics
  • Studying

    Studying

    Completed the assignment given to us in class. Then struggled with the non-user-friendly software of this website
  • Practice Test and Euler

    Practice Test and Euler

    Worked through more of the practice test and did a refresher on euler. Still not entirely comfortable going from the logistics diff. eq. to the logistics growth curve.
  • Summations

    Summations

    Went back over infinite series and summations notes as well as in my AP book, I don't have the simple ones memorized anymore so I need to work on that, but I have certainly made progress on remembering the process as a whole
  • Infinite Series

    Infinite Series

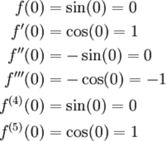
    Went through Taylor Polynomials again and have begun trying to memorize the summations for infinite series once more.
  • Convergence and Divergence

    Convergence and Divergence

    Attempted to re-memorize the rules for the different convergence and divergence tests, have not yet succeeded but will continue to try
  • Differentials

    Differentials

    Looked back through differential equations, did not identify any very big trouble areas, just need to remember all of the rules for integration.
  • ParaSHELL and PerpenDISCular

    ParaSHELL and PerpenDISCular

    Reviewd the solids of revolution just to make sure that I know both ways to do so and will not miss any easy points.
  • Weird Questions

    Weird Questions

    Went through my AP practice tests and did all of the strange problems that I could find just to make sure I don't get tripped up by something being shown or asked differently.
  • Practice Tests

    Practice Tests

    Took part of a practice test today and plan on finishing the rest of it and possibly doing another over the weekend
  • More Practice!

    More Practice!

    Took another practice test again today and have begun to feel a bit more confident about Wednesday.
  • Relax!

    Relax!

    Studied questionable topics for about 10 min, then relaxed and did nothing related to the AP
  • Test Day

    Test Day

    Put on my shirt, took the test, and rejoiced

Want to make a timeline like this?

Use Timetoast to turn dates, events, milestones, and phases into a clear visual timeline you can build and share. Timetoast is a timeline maker for work, school, research, and stories.