Calculus Journal

  • Day 1

    Day 1

    Today is the first day of this assignment. In class we went over the AB stuff. All of it came back quickly. The integration in particular was very quick. Similarly Reimann sums are a pain but simple. I still do mix up the volumes of revlution on occasion like on the Practice AP so thats one thing I'm going to focus on.
  • Day 2

    Day 2

    We did diff eq's in class today. I'll admit I am very happy that we aren't really going to need non-seperable diff eq stuff on the test. Seperable ones just seem self explanatory to me (albeit natural log heavy). The review on logistics was also useful. I was a bit fuzzy on the different forms of the logistic equation but now my memory is much more clear. The most important lesson from today was ALWAYS SEPERATE VARIABLES if possible.
  • Series and Sequence

    Series and Sequence

    The topic of today was series and sequences (emphasis on the former). We learned many many good ways to test for convergence and divergence, the most useful of which I believe to be the ratio test which works for almost every situation except p-series. Te nth term test is also obviously very qucik and useful. It saves time if you can show a series diverges in an instant. I still have trouble understanding why the harmonic series diverges. The way I see it the nth term has to be zero at infinity.
  • Day 4- Taylor and Maclaurin

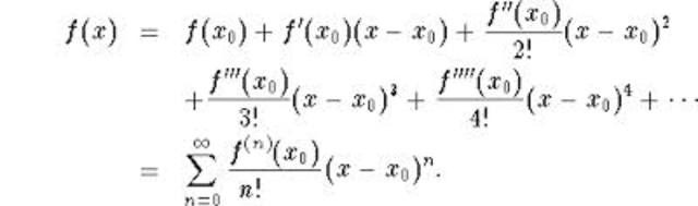
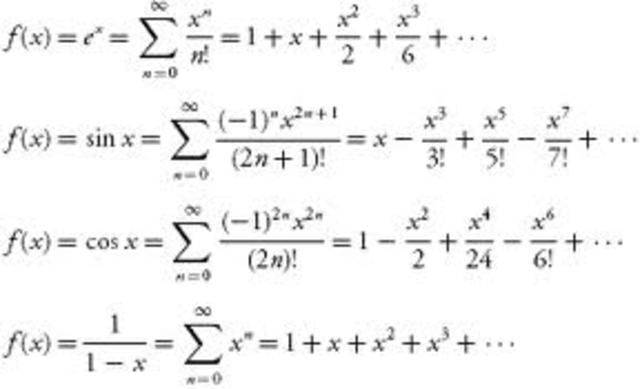
    Day 4- Taylor and Maclaurin

    Again another good review day. I will have to go back on my own to just memorize the most important Taylor and Power Series but the operations involving them are fairly straightforward. It is really cool how derivaties and integrals carry over to taylor series and how much easier they make some problems. Its fascinating how it all fits together.
  • More Taylor and Power Series

    More Taylor and Power Series

    More Taylor and Power series work today. I remember most of it. What I do need to work on is just memorizing the basic functions and series just to make things a bit easier. I find it really cool how you can just drop in different values (say 2x) into functions like sin(x) for x and have the taylor series for that function. It certinaly shows the usefulness and adaptability of the idea of power series and Taylor polynomials.
  • Integration Review

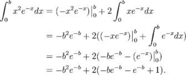
    Integration Review

    The topic of the day was advanced Integration review. This is the unit I feel the strongest on particularly once trig substitution is taken out of the mix. Ibntegration by parts is a particular favorite of mine. It seems rather elegant to me. L'Hopitals rule is also a favorite. It is remarkable to me that the math behind it works so that the limit of the ration of derivatives is equal to the limit of the expression itself.
  • Applications of Integration

    Applications of Integration

    The review in class today may have been the most helpful we have had yet. I am not particularly good at volumes of revolution. The disk method makes sense to me but I need to spend some time reviewing the shell method. I keeping forgetting the variable for the hight. Volumes of know cross sections are also pretty easy although as the example in class showed a picture is worth a million words particularly with those questions. Once I check to make sure the rectangles are correct, they are easy.
  • Polar Review Day

    Polar Review Day

    I am not a huge fan of Polar graphing. I find going between rectangular and polar form and vice versa to be fairly easy. I also dont have a problem with graphing. I need to spend some time memorizing the equations for arc length, surface area, and the area between to polar curves. I think most of my issue with it is that Im not used to the whole plain having used x-y coordinates all of my life. Its also pretty cool all of the shapes that can be made using Polar coordinates.
  • Polar Test Day

    Polar Test Day

    Today was the Polar Test. I thought the non calulator was fairly easy. The calculator section was much harder. The one area between curves questions I found challenging and I belive I made a mistake on the highest point on the cardioid question.
  • In class review day

    In class review day

    It was just an in class review of multiple choice and two free response. I thought that the free response were very easy. They just came together quickly and I didn't find any sticking points. Some of the mulitple choice questions were harder but that was mainly due to the convoluted way that they were worded. This weekend my main Claculus tasks are to review taylor and McClaurin series mainly to memorize the standard ones so that I dont have to think about them on the test.
  • Last Monday....

    Last Monday....

    Today was just a very basic review day. I thank you for not loading us up with stuff before the test so that we can study in our own ways. I went over notes and did a few practice problems. All in all I feel ready to go!
  • D minus 1

    D minus 1

    Tomorow is it! The breif walk around and find someone who activity were helpful and a good pregame. I almost made a mistake on the diff eq. I made it harder when it was actuall an easy seperable question. I'll have to keep that in mind tomorrow; to not over complicate things. The tips given to us are also helpful. I think I am good to go for the biggest game.
  • The big day

    The big day

    I felt like the test went very well. I found both sections of multiple choice pretty easy, easier than the two practice ones we took. I had plenty of time to go back and check my answers. I was surprised there weren't more Polar questions and series. There was actually very little BC stuff. The freee response also went well excpet for the last part of question 6. I feel hopeful for a five.

Want to make a timeline like this?

Use Timetoast to turn dates, events, milestones, and phases into a clear visual timeline you can build and share. Timetoast is a timeline maker for work, school, research, and stories.