Wwwww

Calculo Diferencial

  • Pascalina

    Pascalina

    Blaisep Pascal (Francia, 19 de junio 1623-París, 19 de agosto de 1662), en este año se inventó la primera maquina calculadora, usaba engranajes, usando una manivela girando al lado apropiado, se sumaba o restaba según el sentido del ruedo.
  • Máquina multiplicadora

    Máquina multiplicadora

    Samuel Morland (Inglaterra, 1625-1695) Creó 3 máquinas diferentes para calcular, una basada en la pascalina que sumaba, otra que se puede usar para calcular multiplicaciones, había discos basados en los de Naper, para poder tener dígitos de decenas en lados opuestos.
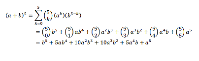
  • Teorema del binomio

    Teorema del binomio

    Isaac Newton (Inglaterra, 4 de enero de 1643, 31 de marzo de 1727), aplicando los métodos de John Wallis de interpolación y extrapolación a nuevos problemas, creó el teorema de binomios en 1664, utilizó los conceptos de exponentes generalizados mediante los cuales una expresión polinómica se transformaba en una serie infinita. Así estuvo en condiciones de demostrar que un gran número de series ya existentes eran casos particulares, bien por diferenciación, bien por integración.
  • La rueda de Gottfried

    La rueda de Gottfried

    Willhelm (Alemania, 1 de julio de 1646, 14 de noviembre de 1716) creo un tambor que se usó para mejorar las calculadoras de Pascal y Samuel, haciendo que su modificación pueda sumar, restar, multiplicar y dividir. Para conseguir multiplicaciones y divisiones, Por medio de dos ruedas dentadas, en una pascalina, y otro cuentapasos, en forma de tambor cilindro dentado, que se ponía en el numero que se quería multiplicar o dividir, y así, se generaba el proceso ese determinado numero de veces.
  • Ecuación diferencial de Bernoulli

    Ecuación diferencial de Bernoulli

    Jacob Bernoulli, (Suiza, 1655-1705), formuló una ecuación diferencial ordinaria de primer orden, Esta ecuación fue transformada, por Gottfried Leibniz en 1693 y por Johann Bernoulli en 1697, en una ecuación diferencial lineal de primer orden mediante el cambio de variable.
  • Regla de l'Hôpital

    Regla de l'Hôpital

    Guillaume (Francia, 1661, 1704), antes militar vuelto matemático, su mayor aportación fue la regla que trae su nombre, es una regla que usa derivadas para ayudar a evaluar límites de funciones que estén en forma indeterminada. Fue puesto en su libro Analyse des infiniment petits pour l'intelligence des lignes courbes, que es el primer texto sobre cálculo diferencial.
  • Instituciones Analíticas

    Instituciones Analíticas

    María, (Italia, 1718, 1799) publicó un libro importante, de los primeros en enseñar calculo, se usó por 50 años para enseñar en Europa, ayudo a que en las escuelas se aprendieran las ramas del cálculo.
  • Método de variaciones de parámetros para resolver ecuaciones diferenciales

    Método de variaciones de parámetros para resolver ecuaciones diferenciales

    Joseph (Italia, 1736-1813), inventó el método de variaciones de parámetros para resolver ecuaciones diferenciales, método de variaciones de parámetros para resolver ecuaciones diferenciales. Se usó para resolver la ecuación diferencial no homogénea del calor.
  • Teorema fundamental del álgebra

    Teorema fundamental del álgebra

    Jean Robert Agrand(Francia, 1768-1822), tuvo la primera demostración correcta del teorema originalmente pensado por Pedro Roth en 1608. Este teorema permite descubrir que todos los números con grado mayor a cero tiene raíz.
  • Minímos cuadrados

    Minímos cuadrados

    Carl (Alemania, 1777-1855) demostró una teoría minímos cuadrados, que ayudo a seguir la orbita de un planeta con exactitud. Consiste en tratar de minimizar la suma de cuadrados de las diferencias en las ordenadas entre los puntos generados por la función elegida y los correspondientes valores en los datos.
  • Teorema del valor medio

    Teorema del valor medio

    Augustin Louis Cauchy(Francia, 1789-1857), el teorema dice que dada cualquier función f continua en el intervalo [a, b] y derivable en el intervalo abierto (a, b), entonces existe al menos algún punto c en el intervalo (a, b) tal que la tangente a la curva en c es paralela a la recta secante que une los puntos (b, f(b)) y (a, f(a)). Fue demostrado por Cauchy.
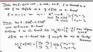
  • Ecuaciones Cauchy-Riemann

    Ecuaciones Cauchy-Riemann

    Georg Riemann (Alemania, 1826-1866) junto con Cauchy aportó en las ecuaciones Cauchy-Riemann, son dos ecuaciones diferenciales parciales que son básicas en el análisis de funciones complejas de variable compleja, debido a que su verificación constituye una condición necesaria para la derivabilidad de este tipo de funciones.
  • Cuaternión

    Cuaternión

    Los cuaterniones fueron creados por William Rowan Hamilton (Irlanda, 1805, 1865) son una extensión de los números reales, similar a la de los números complejos. Mientras que los números complejos son una extensión de los reales por la adición de la unidad imaginaria i, , los cuaterniones son una extensión generada de manera análoga añadiendo las unidades imaginarias i, j y k a los números reales
  • Sofia Kovalévskaya

    Sofia Kovalévskaya

    Sofia Kovalévskaya(Rusia, 1850-1891), junto con Cauchy desarrolló el teorema Cauchy-Kovalévskaya, básico para la teoría de ecuaciones diferenciales parciales. Ese teorema afirma la existencia de soluciones analíticas de un sistema de ecuaciones en derivadas parciales en ciertas condiciones.
  • Integral de Lebesgue

    Integral de Lebesgue

    Henri Lebesgue (Francia, 1875-1941) dio su aportación a la teoría de medida, demostrando la integral de Lebesgue, que es la extensión y re formulación del concepto de integral de Riemann a una clase más amplia de funciones reales

Looking for a timeline maker?

Create timelines for projects, roadmaps, history, lessons, legal cases, and stories with Timetoast. Timetoast is a timeline maker for work, school, research, and stories.