AP Calculs BC Preparation

  • Inegration Review

    Inegration Review

    I noticed that I remmber how to do all of the techniques. I just need to practice doing them faster.
  • Differential Equations Review

    Differential Equations Review

    I always seem to forget how to derive the logistics equation from the differential equation, but I remember what the two are. Also, I need to practice more Logistic word problems ! Slope fields are easy !
  • Infinite Series

    Infinite Series

    Hmmm What can I say about infinite series. I always get confused on how to create a power series from a taylor series. Am i suppose to just look at the taylor series and form a power series or is there a method. The Lagrange erroor bound is also confusing because of knowing what to put for the fn+1(z) term. It made a little bit more sense in class today.
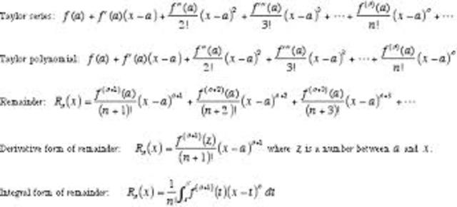
  • Taylor Polynomials and Remainders

    Taylor Polynomials and Remainders

    I understand how to find the different kinds of remainders. It's the lagrange error bound that is the most confusing. I also need to practice the well-known taylor polynomials !
  • Complete Practice Questions for Taylor Series, Remainders

    Complete Practice Questions for Taylor Series, Remainders

    Now that I've been practicing the Langrange error bound, I've beeen able to get the hang of it. I need to continuously go over the common taylor series. Memorization is key !
  • ADvanced Integration Techniques

    ADvanced Integration Techniques

    Inegration by parts is long and tedious, but Thank GOD for tabular method. It's faster, easier, and looks better on paper. I think I've mastered all the techniques becauses filling out the review sheet was easy !
  • Integration Applications

    I think the review was very helpful . PARAshells is when use the function parallel to the axis of rotation . For disk Method use the function perpendicular to axis of rotation. Also, I think it was good that I learned how to derive the equation from the picture.
  • Polar Review

    Polar Review

    I think the polar review was very helpul. I need to practice finding the area of shaded region and outside of a shaded region of polar functions. I get the two confused. I remember all the formulas though ! Also, I need to remember in order to find the tangents of the function I se r=0 and then find the angles, for some reason i've been setting dr/dtheta =0 ?!?!
  • Polar Test

    Polar Test

    Absent due to Law day :(
  • AP Practice Questions

    I wish Mr.Hyman was here ! There were some questions I didn't really understand relating to taylor series. It was one of those I, II, and III statements and you have to choose which combination is right. I'll ask a classmate for help !
  • Polar Test

    Polar Test

    Aghhh who was Al Gore's roommate at HArvard ? I forgot, but overall the polar test was easy! The only problem I had a problem with I didn't even haev to do ! yay ,but I still need to practice it for the final . It was area between two polar curves!
  • Pre-Game

    Pre-Game

    I thoroughly enjoyed the walk in the park. After filling out the blue sheet I feel more confident about taking the final. Even though I am not taking the AP I feel as though I would have been prepared to get a 5!

A list shows items. A timeline shows sequence.

Use Timetoast to make dates, milestones, and turning points easier to understand in a clear visual format. Timetoast is a timeline maker for work, school, research, and stories.