Untitled

AP Calc BC Journal

By ssp410
  • Integration Review

    Integration Review

    I had no problem with the integration techniques that we reviewed. I need to study all of the Riemann Sums as well as the Mean Value Theorem of Integration.
  • Slope Fields and Euler's Methord

    Slope Fields and Euler's Methord

    I can handle differential equations along with Euler's method and slope fields. I had trouble recalling the logistics equations and the variables within them. With a couple of practice problems, I was able to better understand the concept of growth and decay.
  • Sequences and Series

    Sequences and Series

    I very much need to review the tests of convergence as well as the remainder equations. L'Hopital's was easy to remember because it's just taking the derivative of the top and bottom of the limit. I still don't fully understand boundedness and monotonicity with sequences so I will be studying those.
  • Taylor and Power Series

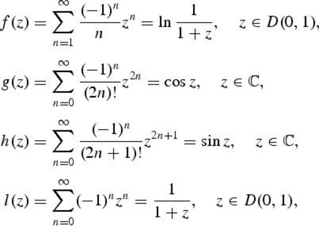
    Taylor and Power Series

    I completely forgot everything about Taylor Series: how to form them, what they mean, and why we use them. After a couple of practice problems, I started to understand what was going on. I am currently studying the Maclaurin Series that we have to have memorized. This was a pretty good unit.
  • LaGrange Error Bound

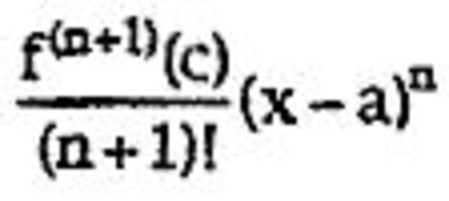
    LaGrange Error Bound

    I completely forgot how to use it and the entire formula. After doing a couple of practice problems, I found it was not as bad as I thought. I still do not want to see more than 1 problem about this on the AP Exam.
  • Advanced Integration

    Advanced Integration

    I need to review the Integration by Parts method, otherwise, integration is not too difficult for me. Partial fractions and improper integrals are easy to deal with as well as L'Hopital's rule. I know most of the indeterminate forms but will keep studying them.
  • Vectors

    Vectors

    I remembered how to find the derivative and second derivative but the applications always trip me up. I never know when to use the accerlation or velocity function when the question asks about speed. I will definitely be studying these more.
  • Taylor Expansion

    Taylor Expansion

    The tests are easy to remember for convergence and divergence but the difference between sequences and series is usually a problem for me. I also need to review estimations with Taylor Polynomials and Riemann Sums.
  • Riemann Sums

    Riemann Sums

    I can never tell the difference between the different Riemann Sums. I do not know which numbers to use for a Left Riemann Sum versus a Right Riemann Sum, I started looking at the graphs to help myself to better understand them.
  • Practice Test

    Practice Test

    We took a multiple choice practice AP exam which I did not think was too difficult. I found out that I got most of them correct which makes me more confident for the test.
  • Reviewing Test

    Reviewing Test

    We went over problems that the most people in the class got wrong from the multiple choice test. I found out that my partner and I got more than half of the most difficult questions correct. I may need to review the calculator sections seeing that we did not receive the score we wanted.
  • Error Bound Review

    Error Bound Review

    I felt a lot better about the La Grange Error Bound after doing a couple of practice problems in class. I'm hoping it will not be tested too much but I feel confident I could get a good amount of points on a free response question about it.
  • AP Spanish Exam

    AP Spanish Exam

    I had my Spanish Exam this day so I felt pretty drained afterwards. I do not feel like I should be cramming so I'm allowing my mind to relax while still glancing at my KYSC sheet.
  • AP Calculus BC Exam

    AP Calculus BC Exam

    I feel pretty good about the exam. There was nothing on the test that I had too much trouble with and the free responses were rather easy. I don't want to get ahead of myself by saying I got a 5 but I definitely don't think I failed.

A list shows items. A timeline shows sequence.

Use Timetoast to make dates, milestones, and turning points easier to understand in a clear visual format. Timetoast is a timeline maker for work, school, research, and stories.