You are not authorized to access this page.

Álgebra lineal

  • INTRODUCCION A LA MATERIA

    La profesora nos dio el formato de los documentos que vamos a realizar en el semestre
  • NÚMEROS COMPLEJOS

    NÚMEROS COMPLEJOS

    Aprendimos lo que son los números imaginarios y los números complejos así como sus propiedades y características
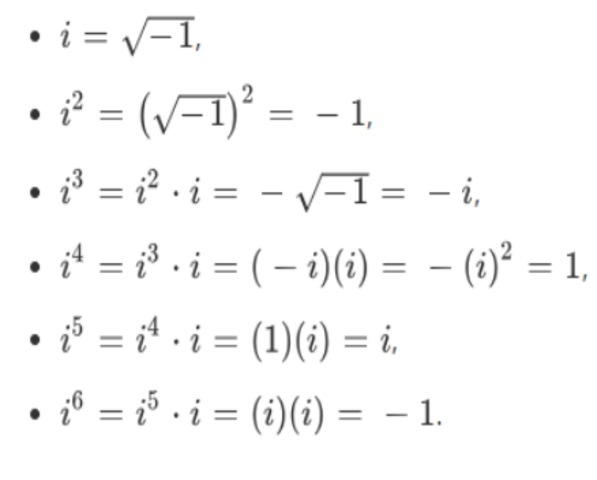
  • POTENCIAS DEL NUMERO IMAGINARIO

    POTENCIAS DEL NUMERO IMAGINARIO

    Estudiamos como dar solución a potencias en números imaginarios y realizamos algunos ejercicios
  • OPERACIONES DE NÚMEROS COMPLEJOS

    OPERACIONES DE NÚMEROS COMPLEJOS

    Aprendimos a sumar, restar, mutiplicar y encontrar la distancia entre 2 puntos con numeros complejos
  • NÚMEROS COMPLEJOS CONJUGADOS

    NÚMEROS COMPLEJOS CONJUGADOS

    Aprendimos a resolver números complejos conjugados, sus propiedades y algunas formulas

Plan projects on a visual timeline

Map milestones, phases, deadlines, and key events in one place so the sequence is easier to see and share. Timetoast is a timeline maker for work, school, research, and stories.