Resolución de ecuaciones cuadráticas

  • Primeras resoluciones
    1600 BCE

    Primeras resoluciones

    Los babilonios usaban un método para resolver ecuaciones cuadráticas que era algorítmico y aplicado en geometría. Los resultados debían de siempre ser positivos. La técnica es similar al método de factorización de completar cuadrados, pero desde un enfoque más geométrico y menos algebraico.
  • Aproximaciones y respuestas parciales
    300 BCE

    Aproximaciones y respuestas parciales

    En Antigua Grecia, Euclides y Pitágoras crearon un método geométrico para aproximar los valores de las raíces de las ecuaciones cuadráticas. Diofanto obtuvo un procedimiento para obtener solo una de las raíces de las ecuaciones cuadráticas.
  • Antecesor a la fórmula general
    630

    Antecesor a la fórmula general

    En India, Brahmagupta dio una resolución muy parecida a la fórmula general actual para las ecuaciones cuadráticas, pero no funcionaba en todos los casos. Admitía números positivos y negativos.
  • Soluciones algebráicas
    800

    Soluciones algebráicas

    Al-Khwarizmi, de Persia, dio procedimientos para resolver seis tipos de ecuaciones cuadráticas en un libro, donde expuso la fórmula cuadrática, un ejemplo numérico y una demostración geométrica. Introdujo el concepto de variable desconocida.
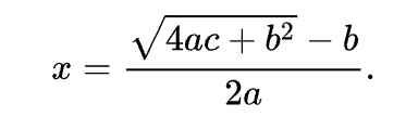
  • Una nueva forma

    Una nueva forma

    Po-Shen Loh, profesor de matemática en Estados Unidos, inventó un nuevo método de resolución para las ecuaciones cuadráticas. Se basa en el método de factorización de inspección y busca ser intuitivo. La técnica se puede aplicar para números positivos, negativos e incluso complejos.

A list shows items. A timeline shows sequence.

Use Timetoast to make dates, milestones, and turning points easier to understand in a clear visual format. Timetoast is a timeline maker for work, school, research, and stories.