nick simonetti history of the internet

  • sputnick was launched

    sputnick was launched

    http://www.zakon.org/robert/internet/timeline/ the spaceship was launched by the russians.
  • online man communication

    online man communication

    http://www.zakon.org/robert/internet/timeline/ a concept of online interaction.
  • advanced research projects agency

    advanced research projects agency

    found a way that computers can talk to eachother in case of attack.
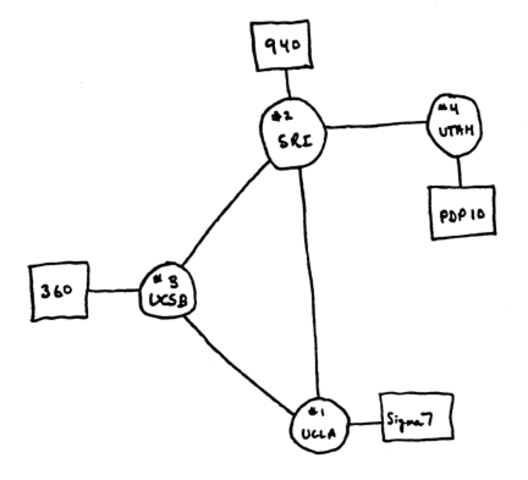
  • computers at stanford and ucla connected for first time.

    computers at stanford and ucla connected for first time.

    the first host on what would one day become internet
  • an arpenet network was created

    an arpenet network was created

    created the first interface message proccesor.
  • email was first developed

    email was first developed

    developed by ray tomlinsom who also created the @ symbol
  • the begining of tcp

    the begining of tcp

    a propasal was published to link like networks togeather.
  • first internet meeting was held

    first internet meeting was held

    the meeting was in san frasisco.
  • the first personale computer modum was invented

    the first personale computer modum was invented

    was invente by denis hayes and dale heatherington.
  • spam was born

    spam was born

    the first unsolicited email was sent
  • the first multiplayer games was born

    the first multiplayer games was born

    world of warcraft was created.
  • the first emoticon

    the first emoticon

    the first emoticon was black and white and created by scott fahlman.
  • the domain name was created .

    the domain name was created .

    the domain system was important in that made addreses on the net.
  • jon postel beacomes first member online.

    jon postel beacomes first member online.

    kobehe was the first person on the network.
  • inet in kobe

    inet in kobe

    the net was up in the country of kobe.
  • first network online

    first network online

    people got to connect finally.
  • world wide web protocols finished

    world wide web protocols finished

    it was written by tim berners lee on his probasol from a year before.
  • network resourse center founded

    network resourse center founded

    to help people with there issues on the net .
  • first website was created.

    first website was created.

    brought some major innovations to the internet.
  • arpenet celbrates 25 aniversery

    arpenet celbrates 25 aniversery

    http://www.zakon.org/robert/internet/timeline/ the cretion of apenet was 25 years old.
  • twiter

    twiter

    titletwitter was created
  • internet society  launches devoloping country workshops

    internet society launches devoloping country workshops

    titlethe help people with the internet.

Want to make a timeline like this?

Use Timetoast to turn dates, events, milestones, and phases into a clear visual timeline you can build and share. Timetoast is a timeline maker for work, school, research, and stories.