Screen shot 2018 04 14 at 8.55.44 pm

Qi_Sally_Math Novel Timeline

By nicai
  • Leonhard Euler

    Leonhard Euler

    Leonhard Euler proved Euler product formula, which laid a foundation of Riemann zeta function.
  • Gustav Lejeune-Dirichlet

    Gustav Lejeune-Dirichlet

    Dirichlet L-function was produced to prove the theorem on primes in arithmetic progressions.The generalized Riemann hypothesis extends the Riemann hypothesis to all Dirichlet L-functions.
    The figure above is the Dirichlet L-function of the trivial character (which implies the modulus k is prime) yields the Riemann zeta-function.
  • Carl Friedrich Gauss

    He was the teacher (doctoral advisor) of Riemann. He recommended that Riemann give up his theological work and enter the mathematical field
  • Period: to

    Riemann Hypothesis Purposed

    Riemann Hypothesis was purposed by Bernhard Riemann
  • David Hilbert

    David Hilbert

    He enumerated the 23 most important open mathematical questions at the 1900 Paris conference of the International Congress of Mathematicians at the Sorbonne, set the stage for 20th Century mathematics. It includes Riemann hypothesis, the continuum hypothesis and so on.
  • G.H. Hardy

    G.H. Hardy

    In 1914 Godfrey Harold Hardy proved that the Riemann zeta function has infinitely many real zeros.
  • Harald Bohr and Edmund Landau 1

    Harald Bohr and Edmund Landau 1

    They showed that any strip-like zone that contains the critical line included almost all non-trivial zeros of the radon, which indicating the "central position" of the convergence of the zero-threshold line.
    It's known that N(ζ ,T) is of order T logT, so that most of the zeros of ζ(s) lie very near σ=1/2.This was the first successful attempt to show that the Riemann hypothesis is at any rate "approximately " true.
  • G.H. Hardy and John Edensor Littlewood—Hardy–Littlewood zeta-function conjectures

    G.H. Hardy and John Edensor Littlewood claimed two conjectures:
    1. For any ε>0 there exists suchTo=To(ε)>0 that for T no less than To and H=T^{0.25+ε} the interval (T,T+H]} contains a zero of odd order of the function ζ (0.5+i t).
    2. For any ε>0 there exists To=To(ε)>0} that for T no less than To and H=T^{0.5+ε} the inequality No(T+H)—No(T) no less than cH is true.
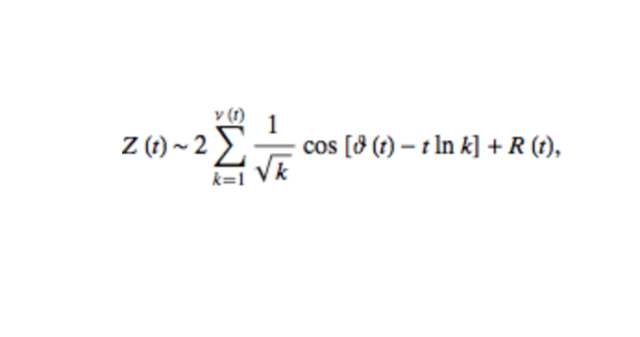
  • Edward Charles Titchmarsh

    Edward Charles Titchmarsh

    E. C. Titchmarsh used the recently rediscovered Riemann–Siegel formula to calculate 195 zeros for Riemann zeta function. (The figure above is Riemann–Siegel formula)
  • Edward Charles Titchmarsh

    E.C.Titchmarsh and L. J. Comrie were the last to find zeros by hand. They found 1041 zeros in 1936.
  • André Weil

    The global zeta functions of (quadratic) function fields and conjecture of an analogue of the Riemann hypothesis was introduced by Emil Artin, which has been proved by Hasse in the genus 1 case and by Weil in general. For instance, the fact that the Gauss sum, of the quadratic character of a finite field of size q (with q odd), has absolute √(q) is actually an instance of the Riemann hypothesis in the function field setting.
  • André Weil Conjecture

    Weil Conjecture was purposed.
  • Alan Turing

    Alan Turing

    A. M. Turing designed the first digital computer to calculate zeros of the Riemann zeta function. It checked by checking that Z has the correct sign at several consecutive Gram points and using the fact that S(T) has average value 0. This requires almost no extra work because the sign of Z at Gram points is already known from finding the zeros, and is still the usual method used. (Photo above is A.Turing and the computer)
  • David Hilbert & George Polya

    He purposed the Hilbert–Pólya Conjecture with George Polya in unknown time, which is a possible and meaningful approach to the Riemann hypothesis. They state that for every x>1, for n no larger than x,(n is positive integer), the number of the whole numbers that have an odd number of prime factors(not necessarily different) is no less than the number of the whole numbers that have an even number of prime factors. It was recognized as correct until 1958.
  • Pierre Deligne

    The Weil Conjectures has 4 conjectures, the fourth conjecture is the hardest to prove. Deligne proved the fourth one, which is the analogue of Riemann hypothesis conjecture. His proof of Riemann hypothesis for varieties over finite fields which can provide some evidence for the more general conjecture that all zeta functions associated with automorphic forms satisfy a Riemann hypothesis, that including the classical Riemann hypothesis as a special case.

Want to make a timeline like this?

Use Timetoast to turn dates, events, milestones, and phases into a clear visual timeline you can build and share. Timetoast is a timeline maker for work, school, research, and stories.