Foto

LINEA DE TIEMPO DE LA HISTORIA DE LA MATEMATICA

  • Dibujos geométricos en rocas
    70,000 BCE

    Dibujos geométricos en rocas

  • Conocimientos acerca de la cuantificación del tiempo
    35,000 BCE

    Conocimientos acerca de la cuantificación del tiempo

  • Primeras referencias a multiplicaciones y números primos.
    20,000 BCE

    Primeras referencias a multiplicaciones y números primos.

  • Primeras civilizaciones usaban huesos y piedras para contabilizar.
    5000 BCE

    Primeras civilizaciones usaban huesos y piedras para contabilizar.

  • Primeros sistemas de numeración para pesos y medidas en Mesopotamia
    3400 BCE

    Primeros sistemas de numeración para pesos y medidas en Mesopotamia

  • Primeros sistemas de numeración decimal en Egipto
    3100 BCE

    Primeros sistemas de numeración decimal en Egipto

  • 2800 BCE

    Primeros sistemas de división decimal para pesos y medidas en el valle del Indo

  • Agrimensura de precisión en Egipto
    2700 BCE

    Agrimensura de precisión en Egipto

  • Diseño de urbanismo con casas y calles con ángulos rectos en el valle del Indo
    2600 BCE

    Diseño de urbanismo con casas y calles con ángulos rectos en el valle del Indo

  • Invención de un calendario astronómico de gran precisión matemática en Egipto
    2400 BCE

    Invención de un calendario astronómico de gran precisión matemática en Egipto

  • Sistemas de cuerdas y nudos (quipus) en la civilización Caral (en el actual Perú)
    2400 BCE

    Sistemas de cuerdas y nudos (quipus) en la civilización Caral (en el actual Perú)

  • Utilización de un sistema decimal de base 60 y primera aproximación al número π
    2000 BCE

    Utilización de un sistema decimal de base 60 y primera aproximación al número π

  • Ecuación cuadrática con su solución
    1700 BCE

    Ecuación cuadrática con su solución

  • 1650 BCE

    En Egipto, primer intento de cuadratura del círculo, primeros usos de la cotangente y ecuaciones lineales de primer orden

  • Pitágoras desarrolla la aritmética, la geografía y la armónica. Descubre la irracionalidad de la raíz cuadrada de dos.
    530 BCE

    Pitágoras desarrolla la aritmética, la geografía y la armónica. Descubre la irracionalidad de la raíz cuadrada de dos.

  • Panini (India) utiliza metarreglas, transformaciones matemáticas y recursiones
    520 BCE

    Panini (India) utiliza metarreglas, transformaciones matemáticas y recursiones

  • Matemáticos indios clasifican los números en numerables, innumerables e infinitos
    500 BCE

    Matemáticos indios clasifican los números en numerables, innumerables e infinitos

  • El astrónomo indio Lagadha utiliza métodos geométricos y trigonométricos para seguir los movimientos del sol y de la luna
    300 BCE

    El astrónomo indio Lagadha utiliza métodos geométricos y trigonométricos para seguir los movimientos del sol y de la luna

  • Los indios introducen el concepto de cero o vacío
    300 BCE

    Los indios introducen el concepto de cero o vacío

  • Los indios utilizan por primera vez el cero como dígito, primer uso de números de Fibonacci y descripción de un sistema numérico binario
    300 BCE

    Los indios utilizan por primera vez el cero como dígito, primer uso de números de Fibonacci y descripción de un sistema numérico binario

  • Los babilonios inventan el ábaco
    300 BCE

    Los babilonios inventan el ábaco

  • El griego Euclides desarrolla varios estudios geométricos en sus Elementos de Euclides, demuestra la infinitud de los números primos y el teorema de la altura entre muchos otros.
    300 BCE

    El griego Euclides desarrolla varios estudios geométricos en sus Elementos de Euclides, demuestra la infinitud de los números primos y el teorema de la altura entre muchos otros.

  • Arquímedes: invención liminar de las integrales
    260 BCE

    Arquímedes: invención liminar de las integrales

  • 250 BCE

    Los olmecas comienzan a usar el cero

  • Apolonio de Perge estudia las Secciones cónicas, elipses, parábolas e hipérboles
    225 BCE

    Apolonio de Perge estudia las Secciones cónicas, elipses, parábolas e hipérboles

  • El griego Hiparco de Nicea desarrolla las bases de la trigonometría
    140 BCE

    El griego Hiparco de Nicea desarrolla las bases de la trigonometría

  • Se desarrolla en la India un sistema de numeración de base diez
    50 BCE

    Se desarrolla en la India un sistema de numeración de base diez

  • Primeras referencias a las raíces cuadradas de números negativos de Herón de Alejandría
    1 CE

    Primeras referencias a las raíces cuadradas de números negativos de Herón de Alejandría

  • 300

    Primeros usos del cero como dígito decimal en la India

  • En China se calcula el número π con siete cifras decimales
    450

    En China se calcula el número π con siete cifras decimales

  • En la India se introducen los conceptos de seno y coseno
    500

    En la India se introducen los conceptos de seno y coseno

  • Brahmagupta desarrolla un método para la resolución de ecuaciones indeterminadas de segundo grado
    600

    Brahmagupta desarrolla un método para la resolución de ecuaciones indeterminadas de segundo grado

  • Al-Juarismi introduce técnicas algebraicas para la resolución de ecuaciones lineales y cuadráticas.
    820

    Al-Juarismi introduce técnicas algebraicas para la resolución de ecuaciones lineales y cuadráticas.

  • Abul Wáfa expone la fórmula trigonométrica: sen (α + β) = sen α cos β + sen β cos α
    1020

    Abul Wáfa expone la fórmula trigonométrica: sen (α + β) = sen α cos β + sen β cos α

  • 1100

    Los árabes introducen el sistema algebraico en Europa

  • 1100

    Bhaskara Acharya concibe el cálculo diferencia

  • Fibonacci introduce en Europa la numeración arábiga
    1202

    Fibonacci introduce en Europa la numeración arábiga

  • Madhava de Sangamagrama introduce el análisis matemático
    1350

    Madhava de Sangamagrama introduce el análisis matemático

  • Fundamentos de las derivadas
    1501

    Fundamentos de las derivadas

  • Robert Recorde introduce los símbolos matemáticos "=", "+" y "-"
    1557

    Robert Recorde introduce los símbolos matemáticos "=", "+" y "-"

  • Rafael Bombelli realiza cálculos con números complejos
    1572

    Rafael Bombelli realiza cálculos con números complejos

  • John Napier introduce los logaritmos

    John Napier introduce los logaritmos

  • René Descartes introduce la geometría analítica

    René Descartes introduce la geometría analítica

  • Fermat introduce el cálculo diferencial

    Fermat introduce el cálculo diferencial

  • Pascal y Fermat desarrollan la teoría de la probabilidad

    Pascal y Fermat desarrollan la teoría de la probabilidad

  • Isaac Newton desarrolla el cálculo infinitesimal

    Isaac Newton desarrolla el cálculo infinitesimal

  • Leibniz desarrolla su versión de cálculo infinitesimal

    Leibniz desarrolla su versión de cálculo infinitesimal

  • Leibniz descubre una técnica para separar las variables en ecuaciones diferenciales

    Leibniz descubre una técnica para separar las variables en ecuaciones diferenciales

  • Teoría de límites de L'Hôpital

    Teoría de límites de L'Hôpital

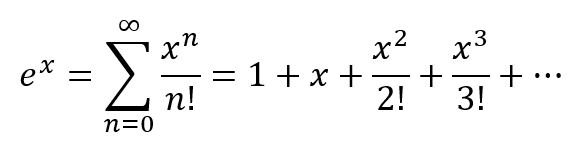
  • Desarrollo de las series de Taylor

    Desarrollo de las series de Taylor

  • Euler desarrolla técnicas de integración y resolución de ecuaciones diferenciales

    Euler desarrolla técnicas de integración y resolución de ecuaciones diferenciales

  • Thomas Bayes desarrolla el teorema de Bayes

    Thomas Bayes desarrolla el teorema de Bayes

  • Teorema de divergencia de Lagrange

    Teorema de divergencia de Lagrange

  • Gauss prueba el teorema fundamental del álgebra

    Gauss prueba el teorema fundamental del álgebra

  • Fourier descubre cómo descomponer funciones periódicas en series trigonométricas convergentes

    Fourier descubre cómo descomponer funciones periódicas en series trigonométricas convergentes

  • Bolzano introduce el teorema del valor intermedio

    Bolzano introduce el teorema del valor intermedio

  • Teorema integral de Cauchy

    Teorema integral de Cauchy

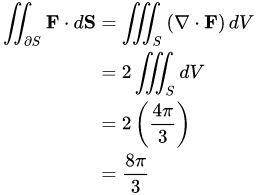
  • Ampère descubre el teorema de Stokes

    Ampère descubre el teorema de Stokes

  • Francis Guthries enuncia el teorema de los cuatro colores

    Francis Guthries enuncia el teorema de los cuatro colores

  • Frobenius desarrolla un método para resolver ecuaciones lineales con puntos singulares regulares

  • Lindemann demuestra que π es trascendental por lo que el círculo no puede ser cuadrado con regla y compás

    Lindemann demuestra que π es trascendental por lo que el círculo no puede ser cuadrado con regla y compás

  • Hilbert presenta una serie de axiomas geométricos

    Hilbert presenta una serie de axiomas geométricos

  • Runge desarrolla un algoritmo de transformada de Fourier

    Runge desarrolla un algoritmo de transformada de Fourier

  • Brouwer enuncia el teorema del punto fijo

    Brouwer enuncia el teorema del punto fijo

  • John von Neumann desarrolla los principios de la teoría de juegos

    John von Neumann desarrolla los principios de la teoría de juegos

  • Mandelbrot estudia los fractales

    Mandelbrot estudia los fractales

  • Se termina la clasificación de grupos simples finitos

    Se termina la clasificación de grupos simples finitos

  • Branges demuestra la conjetura de Bierberbach

    Branges demuestra la conjetura de Bierberbach

  • Grigori Perelman prueba la conjetura de Poincaré

    Grigori Perelman prueba la conjetura de Poincaré

  • Grigori Perelman Rechaza la medalla Fields, que trata de la mayor distinción matemática. logro convertir en teorema la conjetura de Poincaré ha hecho contribuciones históricas a la geometría riemanniana y a la topología geométrica

    Grigori Perelman Rechaza la medalla Fields, que trata de la mayor distinción matemática. logro convertir en teorema la conjetura de Poincaré ha hecho contribuciones históricas a la geometría riemanniana y a la topología geométrica

  • Jhon Milnor Teoría de los nudos y topología diferencial, además avances pioneros en topología, geometría y algebra

    Jhon Milnor Teoría de los nudos y topología diferencial, además avances pioneros en topología, geometría y algebra

  • Harald Helfgott prueba la conjetura débil de Golbach

    Harald Helfgott prueba la conjetura débil de Golbach

A list shows items. A timeline shows sequence.

Use Timetoast to make dates, milestones, and turning points easier to understand in a clear visual format. Timetoast is a timeline maker for work, school, research, and stories.