L'évolution des techniques

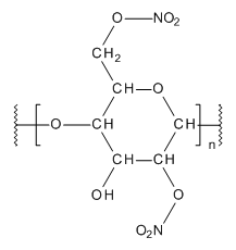
  • Nitrate de cellulose (Théophile-Jules Pelouze) - plastique

    Nitrate de cellulose (Théophile-Jules Pelouze) - plastique

    Le nitrate de cellulose est obtenu en modifiant la cellulose naturelle à l'aide d'acide nitrique, il est très inflammable. C'est le premier matériau plastique appliqué à la fabrication des supports. Il est préparé par estérification de molécules de cellulose, extraites de bois ou de coton, en présence d'un mélange d'acides nitrique et sulfurique. Des ajouts de plastifiants, initialement à base de camphre, permettent de renforcer ses propriétés
  • Acier (Henry Bessemer) - métallurgie

    Acier (Henry Bessemer) - métallurgie

    L'ingénieur et industriel britannique Henry Bessemer est le premier homme a avoir réussi à développé le procédé industriel de fabrication de l'acier. C'est le procédé Bessemer qui consiste à affiner de la fonte brute ayant servie à fabriquer de l'acier peu couteux.
  • La celluloïde (John Wesley Hyatt) - plastique

    La celluloïde (John Wesley Hyatt) - plastique

    Le celluloïd a eu de nombreuses utilisations. On s’en est notamment servi pour fabriquer des manches de couteau, des barrettes, des peignes des jouets ou des boules de billard. Cependant, il s’est vite fait remplacer par les matières plastiques car sa grande inflammabilité a rendu sa fabrication et son usage dangereux.
    Aujourd’hui, il est encore utilisé pour fabriquer des balles de tennis de tables ou pour imiter certaines matières précieuses comme la nacre, les écailles ou les perles.
  • Viaduc de Garabit en fer (Gustave Eiffel) - métallurgie

    Viaduc de Garabit en fer (Gustave Eiffel) - métallurgie

    Dans les années 1870, on envisage l’extension de la ligne de chemin de fer vers le Sud, pour relier Paris à Béziers. C'est grâce à Gustave Eiffel et Léon Boyer que le viaduc de Garabit put se construire afin de réunir les deux rives de la rivière.
  • Aluminium par électrolyse (Paul Héroult) - métallurgie

    Aluminium par électrolyse (Paul Héroult) - métallurgie

    En 1886, Paul Héroult en France et Charles Martin Hall aux États-Unis découvrent, indépendamment, que l’oxyde d’aluminium ou alumine se dissout dans la cryolite et peut être décomposé par électrolyse pour donner du métal brut en fusion.
  • La cellophane (Jacques Edwin Brandenberger) - plastique

    La cellophane (Jacques Edwin Brandenberger) - plastique

    Jacques Edwin Brandenberger est le créateur de la cellophane. Pour en fabriquer, il se sert d'un tissu qu'il enduit d'une couche afin de le protéger. Après avoir fait des expériences sur de nombreux matériaux, il met au point un procédé de fabrication de feuilles de cellulose transparente en 1908.
  • Bakélite ( Leo Baekeland) - plastique

    Bakélite ( Leo Baekeland) - plastique

    La Bakélite est une résine entièrement synthétique qui une fois chauffée, prend la forme de son contenant
    Ce matériau est un plastique thermodurcissable qui ne brûle pas, ne bout pas et ne fond pas. Consciente de ses qualités d’isolant électrique, l’industrie s’en empare dès 1920 pour la fabrication des téléphones et des premiers appa­reils électroménagers.
  • PVC/ Polychlorure de vinyle (Friedrich Klatte) - plastique

    PVC/ Polychlorure de vinyle (Friedrich Klatte) - plastique

    Découvert en 1835 par le physicien français Victor Regnault, le PVC, une matière plastique très courante, formée à partir de sel et de pétrole. Sa stabilité lui permet d'être utilisé dans l'industrie alimentaire et médicale. On le trouve sous forme rigide ou souple. C'est en 1914 que l’inventeur allemand Friedrich Klatte dépose le premier brevet de fabrication, pour que en 1935 la production industrielle du PVC débute en chez BASF.
  • Plexiglas (Barker et Skinner) - plastique

    Plexiglas (Barker et Skinner) - plastique

    C’est Otto Röhm, un pharmacien allemand devenu chimiste, qui en découvre la synthèse chimique dès 1902. Le brevet est déposé en 1932 par deux chimistes américains, Jas Barker et Annie Skinner. L’appellation "Plexiglas", quant à elle, est déposée en 1933 en Allemagne.
  • Polyamide (Wallace Carothers) - plastique

    Polyamide (Wallace Carothers) - plastique

    Le polyamide, alias Nylon, est un matériau plastique et solide à partir duquel on peut par exemple imprimer des objets divers et variés 3D. Le nylon qui a été développé par Wallace Carothers apparait pour la première fois en 1935. En 1938, le polymère est commercialisé sous la forme d’une brosse à dents puis en 1940 pour la production de bas pour femmes. L’invention du Nylon marque le début du développement industriel des fibres synthétiques.
  • Le téflon (Roy Plunkett) - plastique

    Le téflon (Roy Plunkett) - plastique

    Le Dr Roy Plunkett a découvert le PTFE ou polytétrafluoroéthylène, à la base du Téflon, en avril 1938. C'est l'une de ces découvertes accidentelles. Les propriétés du téflon sont multiples : il résiste à la chaleur, à l'acidité, il est très rigide, étanche et donc antiadhésif. A tel point qu'on en retrouve partout : dans les industries du textile, dans l'automobile, le bricolage, la chimie, l'aéronautique et bien plus encore.
  • Polyéthylène (Eric Fawcett et Reginald Gibson) - plastique

    Polyéthylène (Eric Fawcett et Reginald Gibson) - plastique

    Le polyéthylène est la matière plastique la plus connue. C’est le polymère dont sont faits les sacs plastiques des supermarchés, les bouteilles de lait, les jouets pour enfants et même les gilets pare-balle. Ce sont les chimistes anglais Eric Fawcett et Reginald Gibson, qui ont découverts par accident la première synthèse pratique du polyéthylène. Cette réaction fut comprise en 1935 puis développée pour conduire en 1939 à la production industrielle.