Internet Timeline

  • USSR launches Sputnik

    USSR launches Sputnik

    USSR launches Sputnik into space and, with it, global communications.
  • ARPAnet's structural proposal written

    ARPAnet's structural proposal written

    Dr. Howard Frank co-writes the proposal that wins the contract to design the network structure for the ARPAnet.
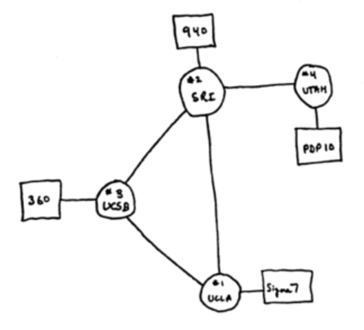
  • IMP network links first four nodes

    IMP network links first four nodes

    The physical Interface Message Processor (IMP) is constructed, linking four nodes: University of California at Los Angeles, SRI in Stanford, University of California of Santa Barbara, and University of Utah.
  • IMP network grows

    IMP network grows

    Fifteen nodes (23 hosts) comprise the IMP network.
  • Ray Tomlinson invents Email

    Ray Tomlinson invents Email

    Ray Tomlinson invents the Email program to send messages across a distributed network.
  • Google creates Gmail

    Google creates Gmail

    Created by Paul Buchheit.
  • Myspace launches

    Myspace launches

    Created by Tom Anderson and Chris Dewolfe.
  • Facebook

    Facebook

    Facebook, a social networking service which began at Harvard, expands to other universities.
  • Youtube

    Youtube

    First organized video streaming and video sharing platform.
  • Tumblr

    Tumblr

    Live streaming and micro blogging platform.
  • Snapchat

    Snapchat

    New platform for chatting by posting pictures.

A list shows items. A timeline shows sequence.

Use Timetoast to make dates, milestones, and turning points easier to understand in a clear visual format. Timetoast is a timeline maker for work, school, research, and stories.