Internet Revolution

  • Sputnik Scare

    Sputnik Scare

    The Soviet Union launched the satelite Sputnik. The space race heated and defense systems around the world were evaluated.
    Image Credit: http://en.wikipedia.org/wiki/Sputnik_1
  • ARPA Forms

    The US Department of Defense forms the Advanced Research Project Agency (ARPA) in response to Sputnik.
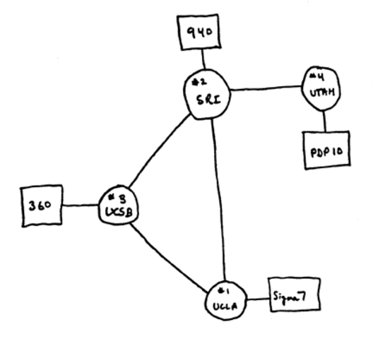
  • ARPANET is a Success

    ARPANET is a Success

    ARPANET sends first successful message - LOGIN - between 2 computers over a network connection. Image Credit: http://www.zakon.org/robert/internet/timeline/
  • TCP/IP is born

    TCP/IP is born

    On the first of the year in 1983 the outdated system of NCP (that ARPA ran on) is switched over to the newer system of TCP/IP which we still use today. Image Credit: http://cla.calpoly.edu/~lcall/354/internet.html
  • Casey Enters the Equation

    In 1986 I was born. There was no Facebook page or e-mail announcement. Grandparents had to wait by their house phones for the call to know whether I was a boy or girl.
  • Science Project

    Science Project

    In the Spring of 1992 I remember using a computer to type the papers to hang on my science project board. I do not believe we had internet access, but as a first grader I remember the challenge of typing a sentence. Image Credit: http://pixshark.com/science-project-clipart.htm
  • Masses Gain Access

    Masses Gain Access

    Many households now have computers. With Tim Berners-Lee introducing the World-Wide web in 1991, and it becoming public along with search engines in 1995, many Americans and other nations can now access information around the globe. Thank you Tim! Image Credit: https://prezi.com/haigbktvbgdb/tim-berners-lee/
  • I am ONLINE!

    I am ONLINE!

    This date is VERY approximate. I do remember spending most of my free time in Highschool (when not on the phone) using Instant Messenger systems AOL and MSN messenger. I can remember waiting forever for the connection to go through, singing on, starting a conversation, and having to get off the computer so that another family member can use the phone. I do think at this point I was also using the internet for e-mail purposes and school work. Image Credit: http://casabona.org/2014/12/sunday-
  • My First Smart PHone

    My First Smart PHone

    After my son was born in April 2012, I learned how time consuming it was to take pictures and upload them to the computer, then upload them to social media. My husband had already made the change to a smart phone. I took the plunge and have never looked back. It was so easy to share my son with his family and friends once I had instant camera to media access.
  • Broken Phone

    My first smart phone break occurred getting out of my car for church. I have been stuck with a dumb phone ever since. I feel like my arm has been amputated.
  • Internet Classes

    It is the summer of 2015 and I am using my personal laptop to complete my Master's Degree by taking classes entirely online. My husband sits in the garage on his computer playing online games with a friend from England. Our garage is filled with 3 other working computers and at least 20 computer towers with countless parts (my husband repairs computers in his free time and is a pack rat). My son has an InnoTab. My TV is also Smart.