Historia de las matemáticas

  • Contar
    50,000 BCE

    Contar

    Desde la prehistoria los seres humanos, entre otros animales han desarrollado esta capacidad. Los datos más antiguos de los seres se pueden observar en marcas que colocaban en huesos.
  • Babilonia Sexagesimal
    30,000 BCE

    Babilonia Sexagesimal

    Los símbolos babilónicos son más complejos que un simple sistema de recuento. Se utilizaban dos tipos diferentes de cuña una vertical para representar el número 1, y una horizontal para representar el 10. Estas cuñas se disponían en grupos para indicar números 2-9 y 20-50, pero se detenía en el 59, tomando la cuña vertical el valor de 60.
  • Egipcios
    2000 BCE

    Egipcios

    Los egipcios utilizaron en este tiempo un sistema más simple de conteo, teniendo símbolos para los números 1000, 100, 10 y 1. Sin embargo emplearon el uso de fracciones.
  • Geometría
    500 BCE

    Geometría

    Euclides insistía en que cualquier enunciado matemático debe tener una demostración lógica antes de que pueda asumirse como verdadero. Por ello los escritos de Euclides combinan dos innovaciones distintas: el uso de figuras y estructura lógica de demostraciones.
  • El ábaco
    300 BCE

    El ábaco

    Los babilonios inventan el ábaco como instrumento de conteo
  • Arquímedes
    250 BCE

    Arquímedes

    Arquímedes (entre otras contribuciones a las matemáticas) siempre será recordado por los matemáticos por su obra sobre los círculos, esferas. y cilindros que ahora asociamos con el número Pi
  • Matemáticas en el mundo
    500

    Matemáticas en el mundo

    En los siglos I a VIII es cuando más se desarrollaron las matemáticas hindúes. Hay 4 matemáticos indios que destacaron sobre el resto. Son Aryabhata (470-550 d.C), Brahmagupta (598-660 d.C), Mahavira (s. IX). Los más relevante de esta cultura es que utilizan reglas aritméticas para el cálculo, empiezan a utilizar los números negativos y el cero y aceptan números irracionales como soluciones a los problemas.
  • Period: 500 to 1500

    Renacimiento y Épocas posteriores

  • Primeras marcas
    1500

    Primeras marcas

    Para este tiempo ya se podían observar el empleo de símbolos para denotar números, Nuestro sistema decimal de números (1,2,3,4,..., etc.) así como la extensión a los decimales nos ha permitido un representar números con alta precisión.
  • Pascal, la primera calculadora

    Pascal, la primera calculadora

    Pascal inventó la primera calculadora, para ayudar a su padre con las cuentas. La máquina, llamada Pascalina, era similar a las calculadoras mecánicas de 1940. El diseño de esta calculadora era complicado, porque en aquélla época, la moneda en Francia no seguía el sistema decimal. Se fabricaron 50 máquinas, pero no se vendieron muy bien y dejaron de fabricarse.
  • Newton

    Newton

    La guerra científica entre Newton y Leibniz por el cálculo infinitesimal finalizó con la muerte de Newton en 1727. Newton tenía escritos 2 libros que no fueron publicados hasta después de su muerte. La invención del cálculo revolucionaría las matemáticas para siempre.
  • Euler

    Euler

    Euler desarrolla técnicas de integración y resolución de ecuaciones diferenciales. El método de Euler consiste en encontrar iterativamente la solución de una ecuación diferencial de primer orden y valores iniciales conocidos para un rango de valores.
  • Gauss, álgebra

    Gauss, álgebra

    Su aporte más importante fue la demostración del Teorema Fundamental del Álgebra, que establece que “todo polinomio con coeficientes complejos, de grado > 0, tiene al menos una raíz en los complejos”.
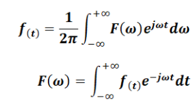
  • Joseph Fourier

    Joseph Fourier

    La transformada de Fourier es básicamente el espectro de frecuencias de una función. Un buen ejemplo de eso es lo que hace el oído humano, ya que recibe una onda auditiva y la transforma en una descomposición en distintas frecuencias (que es lo que finalmente se escucha).
  • Referencias

    Stewart, I. (2008). Historia de las matemáticas (Octubre 2009 ed., Vol. 1). Quercus Publishing PLC.

Plan projects on a visual timeline

Map milestones, phases, deadlines, and key events in one place so the sequence is easier to see and share. Timetoast is a timeline maker for work, school, research, and stories.