Formula1

Moments històrics de la física

By Jabez Z
  • Llei dels cossos que cauen

    Galileu Galilei va rebatre la creença Aristotèlica de gairebé 2000 anys, que els objectes més pesats cauen més ràpid que altres més lleugers, provant que tots els cossos cauen amb la mateixa rapidesa.
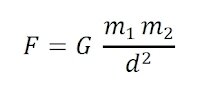
  • Llei gravitació universal

    Isaac Newton va arribar a la conclusió que tots els objectes físics de l'univers, des de pomes fins a planetes, exerceixen una atracció gravitacional entre ells.
  • Lleis del moviment

    Isaac Newton va canviar la nostra comprensió de l'univers en formular les tres lleis que descriuen el moviment dels objectes. 1) Un objecte en moviment roman en moviment llevat que una força externa s'apliqui sobre aquest. 2) La relació entre la massa d'un objecte (m), la seva acceleració (a) i la força aplicada (F) és F = ma. 3) Per a cada acció hi ha una reacció igual i oposada.