Descarga

Evolucion del calculo

By Sorer
  • Abaco
    1850 BCE

    Abaco

    Los chinos desarrollaron el abaco, con el cual podian realizar operaciones complejas en poco tiempo
  • Arquimedes
    287 BCE

    Arquimedes

    El uso del metodo exhaustivo para calcular el area bajo el arco de una parabola con el sumatorio de una serie infinita y dio una aproximación extremadamente precisa del numero.
  • Formula General
    1150

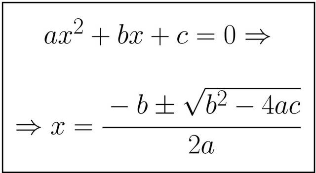
    Formula General

    La fórmula, tal y como la conocemos parece ser obra del matemático hindú Bhaskara (1114-1185).
    Este libro se divide en 4 partes, Lilavati (aritmética), Vijaganita (álgebra), Goladhyaya, y Grahaganita (matemáticas de los planetas). La mayor parte del trabajo de Bhaskara en el Lilavati y Bijaganita procede de matemáticos anteriores, pero los sobrepasa sobre todo en la resolución de ecuaciones. Es aquí, donde aparece la fórmula general que permite resolver una ecuación de segundo grado.
  • Primera calculadora

    Primera calculadora

    La pascalina fue la primera calculadora que funcionaba a base de ruedas y engranajes, inventada en 1642 por el filósofo y matemático francés Blaise Pascal
  • Rene Descartes

    Rene Descartes

    Creo el sistema de coordenadas cartesianas permitiendo que las ecuaciones algebraicas se expresaran como formas geometricas en un sistema de coordenadas.
  • Disertacion sobre el arte de la combinatoria

    Disertacion sobre el arte de la combinatoria

    Leibniz, uno de los padres fundadores del calculo moderno presento en la Universidad de Leipzig una "Disertacion sobre el arte de la combinatoria" en la que se pueden leer los no tan remotos ancestros de la informatica moderna.
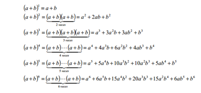
  • Teorema del Binomio

    Teorema del Binomio

    Atribuido a Newton, aplicando los métodos de John Wallis de interpolación y extrapolación a nuevos problemas, Newton utilizó los conceptos de exponentes generalizados mediante los cuales una expresión polinómica se transformaba en una serie infinita. Así estuvo en condiciones de demostrar que un gran número de series ya existentes eran casos particulares, bien diferenciación, bien por integración.
  • Leonhard Euler

    Leonhard Euler

    Desarrollo la teoria de las funciones trigonometricas y logaritmicas, introdujo en 1728 la base para definir los logaritmos naturales.
  • Maria Gaetana Agnesi

    Maria Gaetana Agnesi

    Escribio el primer libro que trato conjuntamente el calculo diferencial y el calculo integral, explicitando su naturaleza de problemas inversos.
  • Numero complejo

    Numero complejo

    El matemático alemán Carl Friedrich Gauss (1777-1855), fue quien les dio nombre, los definió rigurosamente y los utilizó en la demostración original del teorema fundamental del álgebra, que afirma que todo polinomio que no sea constante, posee al menos un cero. La implementación más formal, con pares de números reales fue dada en el Siglo XIX.
  • Augustin Louis Cauchy

    Augustin Louis Cauchy

    Creo las formulas y los teoremas de integracion y las ecuaciones diferenciales de Cauchy-Riemann.

Plan projects on a visual timeline

Map milestones, phases, deadlines, and key events in one place so the sequence is easier to see and share. Timetoast is a timeline maker for work, school, research, and stories.