Calculus BC AP Exam Review

  • Antidifferentiation

    Antidifferentiation

    I remembred all of the rules involved with antidifferentiation. It took me a while to remember the limit definition of the integral, but I'm okay now.
  • Differential Equations

    Differential Equations

    I remembered the process on how to solve diffy q's and the equations for Newton's Law of Cooling and Population growth. good day!
  • Sequences and Series

    Sequences and Series

    I remembered most of the different series. I may have to go over telescoping again, but just as a refersher, I don't need to completely relearn anything.
  • Taylor and MacLaurin Polynomials

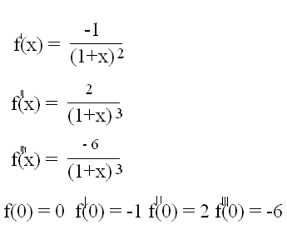
    Taylor and MacLaurin Polynomials

    This was a little harder to remember. I kept forgetting to insert (x-c) when we weren't centerred around 0, and I almost comletely forgot how to differentiate and integrate these series.
  • Calculus BC Exam Part 1 Free Response

    Calculus BC Exam Part 1 Free Response

    3 Was really easy, #2 was pretty easy, #1 My group thought was okay until the very last part. There was probably some really easy way to do it that we were completely overlooking.
  • Calculus BC Exam Multiple Choice No Calculator

    Calculus BC Exam Multiple Choice No Calculator

    This one wasn't bad at all! (Or so I think.) I seemed to know how to most of them. They really weren't all that bad if you remembered formulas, or found clever ways tow write out things.
  • Calculuis BC Exam Free Response Part 2 No Calculator

    Calculuis BC Exam Free Response Part 2 No Calculator

    Problems 1 and 2 were easy. I'm pretty sure we made some really dumb mistakes in the beginning Problem 3, and I had no idea how to do hte last part of Problem 3 either.
  • Practice Exam MC, no calculator

    Practice Exam MC, no calculator

    I thought this part was easier than the calculator part,, not really any problems
  • Went over Calss Practice Test

    Went over Calss Practice Test

    I saw what I did wonrg. Mostly silly mistakes, I learned to be more careful
  • Advanced Integration Techniques

    Advanced Integration Techniques

    These were all really fresh in the mind for me, no problems here.
  • Applications of Integration

    Applications of Integration

    Went over volumes: Shell, Washer, and Disk methods... I kept getting the formulas confused, but I remembered perpenDISKcular, and ParaSHELL!
  • LaGrange Practice

    LaGrange Practice

    I didn't really need this practice that much. I remembered the formula and how to use it. Not complaining for the extra practce though...
  • Absent

    Absent

    I wasn't in school today
  • AP EXAM

    AP EXAM

    It was REALLY easy!