Brain

The Development of the Concept of Intelligence

  • The London Exposition

    The London Exposition

    He was the first to apply statistical methods to the study of human differences and inheritance of intelligence. Also introduced the use of questionnaires and surveys for collecting data on humans.
    More than 10,000 visitorys received an assessment of their "intellectual strengths" by Francis Galton. The test was inacurate.
  • The first practical intelligence test for recognizing special needs

    The first practical intelligence test for recognizing special needs

    Alfred Binet was a psyhcologist who invented the first prcatical intelligence test, that discovered kids with special needs in education.
  • IQ idea invented

    IQ idea invented

    William stern was the creator of the idea to implement such test in order to define a human being's intelligence.
  • Standford-Binet Intelligence Test

    Standford-Binet Intelligence Test

    The frist official test to measure five factors and consists of both verbal and nonverbal questions. The five factors being tested are knowledge, quantitative reasoning, visual-spatial processing, working memory, and fluid reasoning.
  • Concept of Social Intelligence Created

    Concept of Social Intelligence Created

    Edward Thorndike creates the concept of social intelligence.It's a person’s competence to understand his or her environment optimally and react appropriately for socially successful conduct/social acceptence.
  • Adult Intelligence Scale

    Adult Intelligence Scale

    "... the global capacity of a person to act purposefully, to think rationally, and to deal effectively with his environment."- Wechsler-Bellevue
    Wechsler creates a new test that relies less on the ability to speak, for adults and teenagers.
  • Two types of Cognitive Abilities

    Two types of Cognitive Abilities

    Raymond Cattell proposes two types of cognitive abilities. Fluid intelligence and crystallized is the capacity to think logically and solve problems with acquired knowledge
  • The Structure of Intelligence

    The Structure of Intelligence

    Guilford's Structure of inetlligence theory states that an individual's performance on intelligence tests can be traced back to the underlying mental abilities or factors of intelligence. His theory consists of intellectual abilities organized along three dimensions — Operations, Content, and Products.
  • The Theory of Multiple Intelligence

    The Theory of Multiple Intelligence

    Howard Gardner's theory proposed that there were eight abilities that he held to meet intelligence criteria: musical–rhythmic, visual–spatial, verbal–linguistic, logical–mathematical, bodily–kinesthetic, interpersonal, intrapersonal, and naturalistic
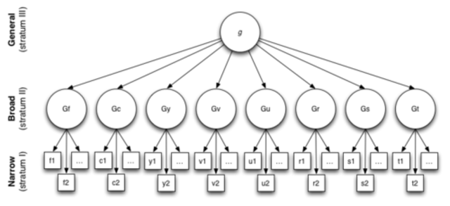
  • Three Stratum theory

    Three Stratum theory

    John Carroll proposes a theory of cognitive ability that consists of three layers that are defined as representing narrow, broad, and general cognitive ability.
  • Pass Theory

    Pass Theory

    Neuroimaging studies and clinical studies of individuals with learning disabilities make it clear that the brain is modularized. Looking at one variable is not the way to go if you're studying learning disabilities, attention disorders, mental retardation, and interventions for such disabilities.

Plan projects on a visual timeline

Map milestones, phases, deadlines, and key events in one place so the sequence is easier to see and share. Timetoast is a timeline maker for work, school, research, and stories.