Significant Events in the Development of the Internet

  • The earliest ideas for a computer network were formulated.

    The earliest ideas for a computer network intended to allow general communications among computer users were formulated by computer scientist J. C. R. Licklider of Bolt, Beranek, and Newman (BBN), in April 1963
  • Birth of the Internet

    BBN installed the first IMP at UCLA and the first host computer was connected.
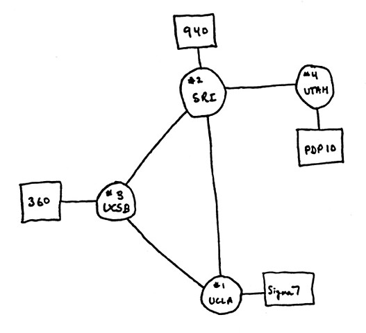
  • The Birth of ARPANET - 4 nodes (connections)

    The Birth of ARPANET - 4 nodes (connections)

    BBN installed the first IMP at UCLA and the first host computer was connected.
    Image Source: https://www.computerhistory.org/internethistory/1960s/
  • First host-to-host connection is made.

    First host-to-host connection is made.

    The connection is from UCLA to SRI. The first "login" crashes the SRI the first time but the second time the connection is a success.
  • ARPANET Expands Across the Country

    ARPANET Expands Across the Country

    The connection begins to expand across the country to universities on the East Coast of the United States.
    Image Source: https://www.computerhistory.org/internethistory/1970s/
  • ARPANET establishes a satellite link connected the Norwegian Seismic Array (NORSAR.

    ARPANET establishes a satellite link connected the Norwegian Seismic Array (NORSAR.

    In 1973 the network expands to Hawaii and London as well as increasing its presence in the 48 contiguous states. Also, a transatlantic satellite link connected the Norwegian Seismic Array (NORSAR) to the ARPANET, making Norway the first country outside the US to be connected to the network.
    Image Source: https://www.computerhistory.org/internethistory/1970s/
  • ARPANET declared "operational" and The Defense Communications Agency took control .

    ARPANET declared "operational" and The Defense Communications Agency took control .

    In 1975, the ARPANET was declared "operational". The Defense Communications Agency took control since ARPA was intended to fund advanced research.[45] At about this time, the first ARPANET encryption devices were deployed to support classified traffic.
    Image Source: https://www.computerhistory.org/internethistory/1970s/
  • First Email Sent

  • The Domain Name System (DNS) is established

    The Domain Name System (DNS) establishes the familiar .edu, .gov, .com, .mil, .org, .net, and .int system for naming websites. This is easier to remember than the previous designation for websites, such as 123.456.789.10.
  • First Web Browser, Mosaic Released

  • NetScape Navigator Began Based on Mosaic

  • Internet Service Providers (ISPs) offer Internet access to all. America Online (AOL) and CompuServe were two of those providers.

  • Internet Explorer 1 (Microsoft Internet Explorer) Released

  • ICANN (Internet Corporation for Assigned Names and Numbers) Developed

    ICANN is a not-for-profit public-benefit corporation with participants from all over the world dedicated to keeping the Internet secure, stable and interoperable.

Want to make a timeline like this?

Use Timetoast to turn dates, events, milestones, and phases into a clear visual timeline you can build and share. Timetoast is a timeline maker for work, school, research, and stories.