Images

Induction Electric Motor

  • François Arago

    François Arago

    François Arago formulated the existence of rotating magnetic feields nicknamed Arago's rotations. These proporties, mechanics, and parts were important for the development of the induction electric motor.
  • Werner Siemens

    Werner Siemens

    Siemens invents an electrical generator that helps send morse code messages quiecker, but needs to be pumped using direct force. These designs were slightly different, they included windings that are used in nearly all motors used today.
  • Maxwell's Equations

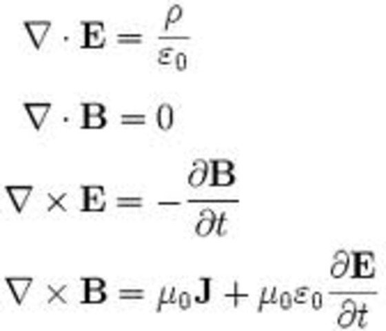
    Maxwell's Equations

    Maxwell's equations are four validated equations used for electronical engineering that are still used today. These equations helped set properties used in not only the induction electric motor, but nearly everything involving electricity we use today.
  • Walter Bailey's Demonstration

    Walter Bailey's Demonstration

    By turning switches on and off, Bailey was able to make the first prototype of the indcution electric motor.
  • Nikola Tesla Invents Induction Motor

    Nikola Tesla Invents Induction Motor

    Nikolas Tesla invents an AC motor in which all electromagnetic energy is transferred by inductive coupling from a primary winding to a secondary winding, the two windings being separated by an air gap. This invention is considered one of the 10 most important inventions not just for the industrial revolution, but in general.
  • Patent

    Patent

    The induction electric motor was pantended and finalized. The motors are typically made in 3 phase motors. The induction motor's parts include a cooling fan, stator (induces magnetic field that rotates), rotor (induces current in the rotor). There is also less wear to the internal parts because the motor does not use brushes.
  • Development Job

    Development Job

    George Westinghouse hired Tesla and gave him an 1 year to develop the motor. Afterwards, Tesla's assistant, C. F. Scott continued the development in the Wesitinghouse work facility. Also, did you know that Thomas Eddison designed another type of motor that uses direct currents? If we didn't have Tesla's designs, the industrial revolution would've been set back a lot longer than it was. The direct electrical motor is less efficient and harder to manage, making it a worse version to the other.
  • A New Kind of Motor

    A New Kind of Motor

    Three phase induction motors were started to be invented to increase minor design flaws, efficiency, and durability in the machine, these flaws and improvements were made by the inventor of the cage motor, Mikhail Dolivo-Dobrovolsky.
  • Polyphase 60 Hertz Electric Motors

    Polyphase 60 Hertz Electric Motors

    These motors were only 2 phase motors, and were not as efficient as three-phase motors, so most industries were not in favor of these, so they were immedietly remodeled so they would be three phase motors.
  • Squirrel Cage Motor

    Squirrel Cage Motor

    Westinghouse signed a crossed-license design which is later called the squirrel-cage motor and is used to increase the effieciency of induction electri motors.
  • Electrification

    Electrification

    In 1915, electrification of the cities brought on the installation and higher usage of the induction electric motor, allowing for more work to be finished thus increasing the rate of the industrial revolution. These motors were mainly used and modified for appliances we have today such as washing machines and other appliances. With washing machines and other appliances, people had more time to spend to other recreational activities.
  • Industrial Usaeg

    Industrial Usaeg

    By this time, there were a lot of industries making products, and the one thing an industry neede most of all was an induction electric motor. The induction electric motro, unlike other motors, used AC instead of DC to for power. With an the pumps producing an electromagnetic field, the power that it produced was far greater than that of any other motor of the time period.
  • Less Farming More Foodstuff

    Less Farming More Foodstuff

    By 1932, inventions such as the induction electric motor had been improved enough through various metals and reduced dimention-wise to help with the mass production of food. Before mass production of food, more than 85% of U.S. citizens did some type of agriculture, later on, less than 2% of U.S. citizens farmed.
  • Cars Go Fast

    Cars Go Fast

    Around the 1900's, more specifically 1950's, cars began to get a lot more complecated. It turns out, that some models of cars used back then (and some used today) had an induction electric motor in the car
  • CURRENT TIME MOTOR

    CURRENT TIME MOTOR

    Today's induction electric motor has taken huge leaps in technology. In Tesla's time, the most powerful horsepower an inudcion electric motor could obtain was at least 7.5. Today, with the advances in cast aluminum squirrel-cage winding, improvements in magnetic steel and insulaation, and the progressive reduction of the dimensions for a given horsepower rating eventually led to the motor having 100 hp with the same mounting dimensions. In other words it was built with very efficient materials.

A list shows items. A timeline shows sequence.

Use Timetoast to make dates, milestones, and turning points easier to understand in a clear visual format. Timetoast is a timeline maker for work, school, research, and stories.