Hgc 1

HISTORIA DE LA INGENIERIA CIVIL

  • COLISEO DE ROMA

    COLISEO DE ROMA

    EL COLISEA DE ROMA ES UNA DE LAS OBRAS MAS GRANDES CONSTRUIDAS EN LA ANTIGUEDAD Y DATA CON UNA HISTORIA MUCHO ANTES DEL 80 AC
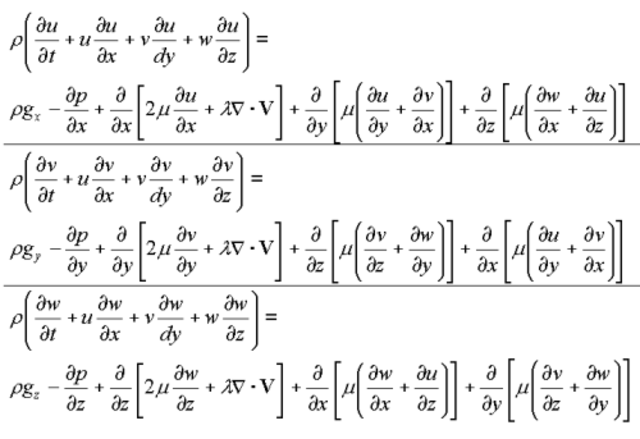
  • NAVIER

    NAVIER

    GRACIAS A LA INVECION DE LA ECUACION DE NAVIER SE ALCANZO OTRO TEMA MAS ALTO EN LA INGENIERIA CIVIL
  • CIRCULO DE MORH

    CIRCULO DE MORH

    CON EL CIRCULO DE MORH LAS TENDECIAS DEL CALCULO TOCARON OTRA FRONTERA Y ROMPIERON LIMITES YA QUE GRACIAS A ESTA NUEVA METODOLOGIA DE CALCULO SE DE DIO NUEVO USO A LA CONTRUCCION
  • HORMIGON ARMADO

    HORMIGON ARMADO

    DESDE LA INVECION DEL HORMIGON ARMADO LA INGENIRIA CIVIL Y LA CONTRUCCION TOMO OTRO RUMBO
  • PRIMEROS RECURSOS NATURALES

    PRIMEROS RECURSOS NATURALES

    DESDE LA EXPLOTACION DE RECURSOS NATURALES SE LE A DADO UN MAL UNO YA QUE SE EPEZARON A EXPLOTAR LOS RECURSOS NATURALES Y PERJUDICANDO EL MEDIO AMBIENTE
  • PALMA DE DUBAI

    PALMA DE DUBAI

    GRACIAS A LOS ALCANCES DE LA INGENIERIA CIVIL SE PUEDEN ADMIRAR COSAS EXTRAORDINARIAS COMO ESTAS ISLAS QUE SE ENCUENTRAN EN DUBAI
  • HOTELERIA FUTURISTA

    HOTELERIA FUTURISTA

    ES TAN MAGNIFICO LOS ALCANCES DE LA INGENIERA CIVIL PODEMOS ENCONTRAR EN UN FUTURO HOTELES COMO ESTOS

A list shows items. A timeline shows sequence.

Use Timetoast to make dates, milestones, and turning points easier to understand in a clear visual format. Timetoast is a timeline maker for work, school, research, and stories.