- 
  
   Dibujos geométricos en rocas. Dibujos geométricos en rocas.
- 
  
    Primeros sistemas de numeración para pesos y medidas en 
 Mesopotamia.
 Sistema de numeración sexagesimal y posicional construcción de
 calendarios lunares: 12 meses de 30 días solares.
 Áreas de polígonos y una geometría aritmetizada.
 Conocían las ternas pitagóricas, lo que se evidencia en la
 famosa tablilla de Plimpton 322.
- 
  
  Sistema de numeración de base decimal, con las operaciones aritméticas elementales realizadas por los escribas de las primeras dinastías faraónicas. se establecieron medidas de longitud, superficie, volumen y capacidad y se desarrollaron operaciones con fracciones aplicadas a situaciones prácticas de repartos iguales y desiguales.
- 
  
  Agrimensura de precisión en Egipto, Invención de un calendario astronómico de gran precisión matemática.
- 
  
   Primer intento de cuadratura del círculo, primeros usos de la cotangente y ecuaciones lineales de primer orden. Primer intento de cuadratura del círculo, primeros usos de la cotangente y ecuaciones lineales de primer orden.
- 
  
   Desarrolla la aritmética, la geografía y la armónica. Descubre la irracionalidad de la raíz cuadrada de dos. Desarrolla la aritmética, la geografía y la armónica. Descubre la irracionalidad de la raíz cuadrada de dos.
 Teorema de Pitágoras: En todo triángulo rectángulo el cuadrado de la hipotenusa es igual a la suma de los cuadrados de los catetos.
- 
  
  Utilización de metarreglas, transformaciones matemáticas y recursiones.
 Clasificación de números numerables, innumerables e infinitos.
 Crearon los nueve números que utilizamos actualmente, también con el cero o vacio.
 Contribuyeron con métodos geométricos y trigonométricos para seguir los movimientos del sol y de la luna.
- 
  
  Hallazgos a diversos problemas de álgebra de segundo, tercer y cuarto grado o incluso poder resolver sistemas de ecuaciones.
 Utilización del sistema para para medir el tiempo, sistema sexagesimal (división del tiempo).
 Carecían del cero.
- 
  
   Realizó problemas relativos al cálculo integral. Realizó problemas relativos al cálculo integral.
 Halló el centro de gravedad de un paralelogramo, un triángulo y un trapecio; y de un segmento de parábola. Calculó el área de un segmento de parábola, cortado por una cuerda.
- 
  
  Conocimientos avanzados en matemáticas (por lo menos en aritmética). El uso del cero.
- 
  
   Se calcula el número π con siete cifras decimales. Se calcula el número π con siete cifras decimales.
 Diagramas combinatorios complejos conocidos como cuadrado mágico y círculo mágico.
 Descubrieron la existencia de números negativos.
 Aportes a la astronomía.
 Utilización de cañas de bambú para hacer operaciones.
- 
  
   Al- kahorarizmi: Manual de Aritmética basado en el Al- kahorarizmi: Manual de Aritmética basado en el
 principio posicional.
 Abu´l Wafá, usaba las fracciones
 a nuestra forma actual.
 Al-Kashi elaboro un tratado sobre la circunferencia donde calculaba
 el numero pi(π).
 Khayyam, desarrolló el cálculo con raíces
 cúbicas.
 Abu Kamil, teoría de números demostró una proposición como diferencia de cuadrados.
 Thabit ibn Qurra, trabajo los números amigos.
 Alkaraji, ecuaciones de grado superior introdujo la prueba del nueve y del once
- 
  
   procedimientos finitos de los matemáticos antiguos, hacia el concepto de infinito a través del concepto de límite (análisis matemático). procedimientos finitos de los matemáticos antiguos, hacia el concepto de infinito a través del concepto de límite (análisis matemático).
- 
  
   Introduce los símbolos matemáticos "=", "+" y "-" Introduce los símbolos matemáticos "=", "+" y "-"
- 
  
   Creación de los números complejos. Creación de los números complejos.
 Desarrolló la aritmética de los números complejos, descubriendo las reglas de su suma y su multiplicación.
- 
  
   Aportes al desarrollo de los logaritmos, método matemático ideado para simplificar el cálculo numérico utilizado en las matemáticas aplicadas. Aportes al desarrollo de los logaritmos, método matemático ideado para simplificar el cálculo numérico utilizado en las matemáticas aplicadas.
- 
  
   Geometría analítica, así como de la teoría de las ecuaciones. Geometría analítica, así como de la teoría de las ecuaciones.
 Introdujo el uso de letras del alfabeto como variables, distinguiendo entre las primeras (A, B, C…) para lo conocido y las últimas (X, Y, Z…) para lo desconocido.
 creó el método de exponentes para representar las potencias,
- 
  
   Aportaciones a la teoría de números, en especial por el conocido como último teorema de Fermat. Aportaciones a la teoría de números, en especial por el conocido como último teorema de Fermat.
- 
  
   Estableció las bases de lo que serían las calculadoras y los ordenadores actuales. También hizo importantes aportaciones a la teoría de la probabilidad, investigó los fluidos y aclaró conceptos sobre la presión y el vacío. Estableció las bases de lo que serían las calculadoras y los ordenadores actuales. También hizo importantes aportaciones a la teoría de la probabilidad, investigó los fluidos y aclaró conceptos sobre la presión y el vacío.
- 
  
   Cálculo infinitesimal. Llamó a este cálculo fluxiones (lo que hoy denominamos derivadas), herramienta que ayuda al cálculo de órbitas y curvas. A principios de 1665 descubrió el teorema del binomio y desarrolló los principios del cálculo diferencial e integral. Cálculo infinitesimal. Llamó a este cálculo fluxiones (lo que hoy denominamos derivadas), herramienta que ayuda al cálculo de órbitas y curvas. A principios de 1665 descubrió el teorema del binomio y desarrolló los principios del cálculo diferencial e integral.
- 
  
   esarrolla su versión de cálculo infinitesimal. esarrolla su versión de cálculo infinitesimal.
 1691 descubre una técnica para separar las variables en ecuaciones diferenciales
- 
  
  precursor de la utilización de la letra e para denotar la base de los logaritmos neperianos.
- 
  
   Utilizó la probabilidad de forma inductiva y construir una base matemática para la inferencia probabilística. Su principal hallazgo fue calcular la probabilidad de un suceso futuro basándose tanto en eventos previos como en las condiciones actuales y cualquier otro factor relacionado. El Teorema de Bayes permite realizar estimaciones basadas en un conocimiento subjetivo a priori, que puede ser modificado con nueva información adicional. Utilizó la probabilidad de forma inductiva y construir una base matemática para la inferencia probabilística. Su principal hallazgo fue calcular la probabilidad de un suceso futuro basándose tanto en eventos previos como en las condiciones actuales y cualquier otro factor relacionado. El Teorema de Bayes permite realizar estimaciones basadas en un conocimiento subjetivo a priori, que puede ser modificado con nueva información adicional.
- 
  
   Probó con rigor el teorema fundamental del álgebra (que toda expresión algebraica de grado mayor que cero tiene una raíz) Probó con rigor el teorema fundamental del álgebra (que toda expresión algebraica de grado mayor que cero tiene una raíz)
- 
  
   Descubre cómo descomponer funciones periódicas en series trigonométricas convergentes Descubre cómo descomponer funciones periódicas en series trigonométricas convergentes
- 
  
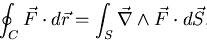
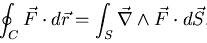
   Descubre el teorema de Stokes, cálculo de la integral de línea del campo vectorial F en la dirección tangencial de la curva C, es igual a la integral sobre la superficie S de la circulación del campo F alrededor de la frontera, en la dirección de la componente normal unitaria a la superficie Descubre el teorema de Stokes, cálculo de la integral de línea del campo vectorial F en la dirección tangencial de la curva C, es igual a la integral sobre la superficie S de la circulación del campo F alrededor de la frontera, en la dirección de la componente normal unitaria a la superficie
- 
  
   contribuciones a la teoría de funciones analíticas, a la solución algebráica de ecuaciones, cuyos coeficientes son funciones racionales de una variable, a la teoría de ecuaciones diferenciales lineales, al problema de Pfaff, a las formas lineales con coeficientes enteros, a las sustituciones lineales y formas bilineales, a los operadores diferenciales lineales adjuntos contribuciones a la teoría de funciones analíticas, a la solución algebráica de ecuaciones, cuyos coeficientes son funciones racionales de una variable, a la teoría de ecuaciones diferenciales lineales, al problema de Pfaff, a las formas lineales con coeficientes enteros, a las sustituciones lineales y formas bilineales, a los operadores diferenciales lineales adjuntos
- 
  
  Creó una nueva rama de las matemáticas, la geometría fractal, con gran interés tanto por la teoría como por las aplicaciones de los resultados obtenidos.
- 
  
   demuestra la conjetura de Bierberbach demuestra la conjetura de Bierberbach
- 
  
   Realizó contribuciones históricas a la geometría riemanniana y a la topología geométrica. demostrando la conjetura de geometrización de Thurston, con lo que se logró resolver, la conjetura de Poincaré, propuesta en 1904 y considerada uno de los problemas abiertos más importantes y difíciles en matemáticas. Realizó contribuciones históricas a la geometría riemanniana y a la topología geométrica. demostrando la conjetura de geometrización de Thurston, con lo que se logró resolver, la conjetura de Poincaré, propuesta en 1904 y considerada uno de los problemas abiertos más importantes y difíciles en matemáticas.
- 
  
   prueba la conjetura débil de Golbach. prueba la conjetura débil de Golbach.