Calculus BC Review

  • Integration Review

    Integration Review

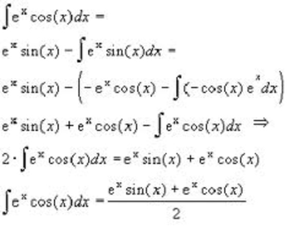
    Integration by parts (u, dv, du, v)
    Partial Fractions
    Trig sub
    Application
  • Differential Equation Review

    Differential Equation Review

    Seperate variables and integrate both sides
    solve for c
    slope fields and drawing the solution for a point
    exponential growth and decay for dy/dx=ky (y = ce^kt)
    logistics model for dy/dx = ky(1-1/M*y) (y = M/1=ce^-kt)
  • Infinite Series Review

    Infinite Series Review

    sequences and finding equations for sequences
    series: the partial sums of sequences
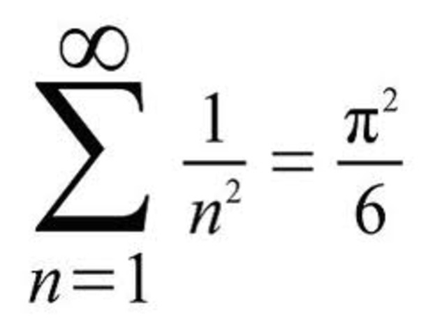
    finding the sum of a series (a/1-r)
    geometirc series, telescoping series
    determining convergence of a series:
    nth term test (divergance only)
    ratio test (conv for <1 div for >1 and unknown at =1)
    root test(conv for <1 div for >1 and unknown at =1)
    DC Test
    LC Test
    Integration
  • Taylor & Maclaurin Polynomials

    Taylor & Maclaurin Polynomials

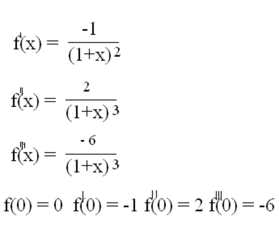
    approximation of a function using multiple derivatives
    find derivates and value of derivatives at a point
    general form:
    Pn(x)= f(x) + f'(x)(x-c)^n/n! +f'(x)"(x-c)^n/n! +...f'(x)^n(x-c)^n/n! +...
    maclaurin centered at 0
    power series
    MUST KNOW: sin, cos, e^x, ln(x+1), arcsin
    look alike method: (a/1-r)
  • Advanced integrations techniques

    Advanced integrations techniques

    integration by parts (u, v, du, dv)
    partial fractions
    trig sub (not on the ap)
  • Integration application

    Integration application

    roatating a curve around an axis
    integral from a to b of the area between two curves:
    disc method
    shell method
    washer method
    multiply by pi!

A list shows items. A timeline shows sequence.

Use Timetoast to make dates, milestones, and turning points easier to understand in a clear visual format. Timetoast is a timeline maker for work, school, research, and stories.