Calculus BC

  • Intergration and AB Stuff

    Intergration and AB Stuff

    Integration, rienmann sum, trapezoidal rule, the fundamental theorem of calculus and mean value theorem for integrals were reviewed. I need to review the trig integration and the trapezoidal rule more. I fully understand rienmann sum approximations, the fundatmental theorem of calculus and the mean value theorem.
  • Period: to

    Calculus BC

  • Differential Equations

    Differential Equations

    Differntial equations, exponential growth and Euler's method were all reviewed today, which I remember how to do. I need to go back and review the logistic curve and memorize what the equation is. I also will need to look over trig substition because I don't remember all the exact steps.
  • Infinite Series

    Infinite Series

    After reviewing sequences today, I think I am good with them and don't need to review them anymore. I will need to look back at the tests for infinite series. I remember some like the nth series test, direct comparison and limit comparison test, but will need to review tests like the intergral test and ration test
  • Polar

    Polar

    After taking the polar test, I think I am set for that part of the AP test. I understood how to do most of the problems. I did have trouble on making a polar equation for a circle with a given diameter and in specific quadrants. That is something I will need to figure out how to do.
  • Power Series

    Power Series

    Power series were reviewed. I didn't remember them at all, so I will definitely have to go back and look all of them over.
  • Practice Multiple Choice

    Practice Multiple Choice

    Doing some of the practice mutliple choice today showed me things that I need to look over again. I need to look over the LaGrange Error Bound because I couldn't remember the exact formula. I also need to look over series a little more.
  • Practive Multiple Choice 2

    Practive Multiple Choice 2

    The second part of the muttiple choice reinforced that I need to look over series and power series again. The part without the calculator seems more involved and a little bit harder than the calculator part.
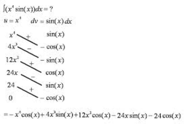
  • Advanced Intergation Techniques

    Advanced Intergation Techniques

    Intergratation by parts, partial fractions and L'Hopitals Rule were reviewed. I understand all of these concepts and believe I am set for these parts of the test.
  • Sequences, Series and Power Series

    Sequences, Series and Power Series

    Reviewing these concepts again did help my understanding. I know remeber all of the tests although I do how trouble with some of the problems.
  • Partner Tests

    Partner Tests

    Getting back the partner test did make me realize that I need to plan the timing out better. We ended guessing on a lot of them because we didn't have time to go back and figure out the right answer. Managing the time was an issue and I also need to go back and make sure I completely underestand LaGrange error bound.
  • Review

    Review

    I reviewed the pink sheet and went over important equations and terms.
  • Pregame

    Pregame

    I do believe that I am prepared for the exam although I do need to go over and look at major concepts again. I also should review basic knowledge such as derivatives and integrals, so I dont blank on the test.
  • Test Day

    Test Day

    Overall, I feel pretty good about the test. The thought the free-response was much easier than the multiple choice. I knew how to do everything on the free-response. The noncalculator multiple choice was the hardest for me. The test didn't have much of series or power series and there was nothing on lagrange error, which is good because I have the hardest time with those concepts.