Calculus

AP Calculus Timeline

  • Brave new beginnings

    Brave new beginnings

    Started doing the ppt review for polar calculus. Solidifying general understadning through relationship with parametrics. Need to become more able in trig...
  • Period: to

    AP Calculus

  • The Review Begins...

    The Review Begins...

    Today we began review on basic integration rules. Luckily I can still do integration and remember most of the theorems. However; I still hate riemann sums!!!!
  • Differential Equations

    Differential Equations

    In class we reviewed differential equations. It's all pretty straight, I re-learned logistics pretty easily. Remember to separate the varibles on the AP!!!!!!!!!!!!!!!
  • Practice Exam

    Practice Exam

    No review in class
  • Practice Exam

    Practice Exam

    No review in class
  • Series and summation review

    Series and summation review

    Going over basic tests for convergence (and divergence). Good review I seemed to remember most tests.
  • Period: to

    Spring Break

  • Determinate and indeterminate forms

    Determinate and indeterminate forms

    Learned some determinate and indeterminate forms when doing limits and summations. Helps to review, needed for L'Hopital's Rule, Reviewed doing integration with as lim approaches infinity.
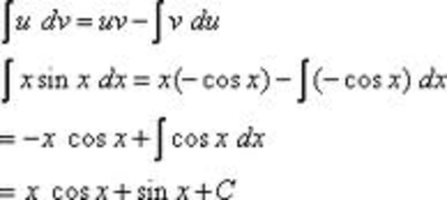
  • Advanced Integration Techniques

    Advanced Integration Techniques

    Reviewed integration by parts and tabular method. Fairly basic review, but needed for the AP. Also did review on partial fractions which is arguably more applicable to a wider range of topics.
  • Radius/Interval of Convergence and Taylor Polynoials/Power Series

    Radius/Interval of Convergence and Taylor Polynoials/Power Series

    This day was very useful. I needf to work on memorizing the power series again. Other than that though, Taylor polynomials are still fairly simple, and I still remember the Ratio Test for interval of convergence. Coupled with the solution to geo series, that's all I need.
  • Volumes of Revolution

    Volumes of Revolution

    Pretty basic review with disc, washer , and shell method. Given this is all from AB it's already pretty well engrained into my mind, however it never hurts to have a refresher.
  • Light Study Sesh after AP Chem

    Light Study Sesh after AP Chem

    Just some practice free response problems from the last few AP tests...
  • Period: to

    AP Tests

    So many!!!!!
  • Light Study Sesh

    Light Study Sesh

    Did review worksheets from class, and got plenty of sleep...
  • BIG GAME DAY

    BIG GAME DAY

    Show the big game what a starter from Varsity Calculus can do!!!!
  • Celebration time!!!

    Celebration time!!!

    We won the Big Game!!!!! Great job Calc BC!!!!