- 
  
  Wow, after doing the review sheet i realized I'm going to have to do a lot more studying than I thought for the AP test, but I still feel confident in my abilities after a quick review. Mostly I just need to work on working with complicated versions of the second fundamental theorem of calculus.
- 
  
  Differential equations seemed simple enough to me when it came to separating varibles and solving respectively, but I need to shift my attention towards logistics equations when prepping for the test. It became clear very quickly that i hardly remember how to set up the logistic growth problems, but after completing the review sheet I felt a bit more confident.
- 
  
  Since series took up by far the largest portion of the year I made sure that I looked back on all of the tests carefully. Testing for convergence and divergence was the most important factor when dealing with series, so reviewing this section seems to be of utmost importance. When completing the review sheet for homework I did well remembering how to do each test, but it will be a lot harder on the AP when we don't have the cheat sheet on the back to remind us of all of the different tests...
- 
  
  Infinite series aren't too far back in the year so they still are held pretty tightly in my head. When completing the review sheet i felt confident in all my answers and the only time I questioned myself was when I made slight arithmetic errors that are fixed with more attention to detail. Radii of onvergence and how they relate to intervals of convergence are easy topics to grasp so I'm hoping I'll be ready for any of these questioins on the test.
- 
  
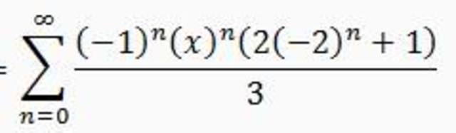
  Power series are pretty easy if you know your infinite series well. Testing for when they converge is usually just as easy as setting the series to look like a geometirs series or just using the ratio test to see when the power series converges for x. Forming power series isn't too bad when given a rational function where you can turn the form to look like a/(1-r) which sets up perfectly to form a power series. After reviewing for infinite series the day before I felt relatively good with this.
- 
  
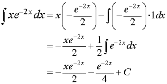
  Advanced Integration is just a little enhancement on calc AB so where most of these problems are concerned i feel very well prepared for the AP test. Partial fractions, parts, and improper integrals are all still very fresh in my head and the only thing i have to do is make sure i review my KYSC sheet ALL THE TIME until the test rolls around. The only problem that gave me some diffculty on the review was number 5 where it was required to take the ln of both sides which just slipped my mind.
- 
  
  Applications of integration aren't usually too complicated when you really know your formulas and where they belong in the grand scheme of things. For me the dificulty usually arrives when a picture is described, but no picture is displayed. This will just involve more in depth thinking and I should be totally ready for teh AP after doing multiple practice tests.
- 
  
  This review during class hekped a lot, mainly because it gave me a glimpse of what I really had to study for tomorrow's test. I feel pretty confident about most of the different problem types, I just feel like I need to get more comfortable with converting polar equations to rectangulaar and vice versa, but by reviewing the basic converting formulas I should be fine.
- 
  
  I think I did alright test wise, but I'm really disappointed that i blanked out on the tangent lines.... which should've been the easiest part of the calculator portion of the test. I always freak out at test time and my brain stops and i can't remember how to do the easiest things, But I hope i did well enough on the rest of the test to recover for some of my little slips.
- 
  
  I can't say i was too focused on calc today because i was playing golf with my family for my uncle's wedding this weekend. But i did mention to my uncle that one of the practical things i could do with calc was to sum up the total distance a golf ball would travel when dropped straight down. Otherwise i plan on taking at least one more calc practice exam before test day.
- 
  
  AP test is in two days and i feel mentally and physically prepped concerning sleep and food. All i can do know is look over basic formulas and hope for the best, including my KYSC sheet which is saving my life.
- 
  
  Not much i could do today I'm mentally drained from my AP spanish exam. Thanks to your gift of the perfect pencil I'm now 100% ready for the test. I've nailed all of the stuff on my KYSC sheet and now I'm just resting up for the big game tomorrow.
- 
  
  Ya done good coach. Ya done good.
 I just forgot the distance formula for polar graphs which was important on a free response.
