История ИТ до 20 века

  • Паскаль Паскалина

    Паскаль Паскалина

    Суммирующая машина Паскаля, «паскалина», представляла собой механическое устройство - ящик с многочисленными шестеренками. Суммирующая машина Паскаля производила арифметические действия при вращении связаных колесиков с цифровыми делениями.
  • Арифмометр Лейбница

    Арифмометр Лейбница

    Арифмометр умел выполнять умножение,
    деление, извлечение квадратных и кубических корней, а также возведение в степень. Впервые представлен в 1673 году.
  • Ткацкий станок  Жозефа Жаккарда

    Ткацкий станок Жозефа Жаккарда

    Станок не делал никаких вычислений, но в его работе
    использовалась лента из плотного материала с рядами
    отверстий. Так получилось то, что называется перфолентой.
  • Малая разностная машина

    Малая разностная машина

    Создание было закончено в 1822 году. Данный механизм вычислял астрономические и математические таблицы.
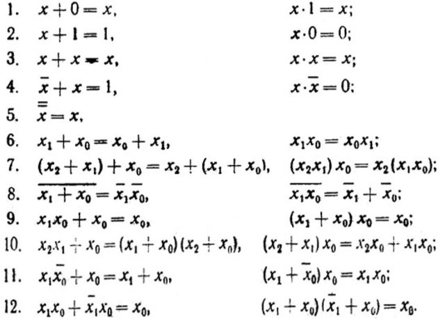
  • Булева алгебра

    Булева алгебра

    В 1854 году Джордж Буль разработал булеву алгебру и опубликовал ее в книге «Исследование законов мышления». Он первым показал, что существует аналогии между алгебраическими и логическими действиями как и те и другие предполагают лишь два варианта ответов: истина или ложь, ноль или единица.
  • Аналитическая машина

    Аналитическая машина

    Построена в 1906 году сыном Чарльза Бэббиджа, Генри Бэббиджем.
    Включала в себя арифметическое устройство и устройство для печатания результатов.

A list shows items. A timeline shows sequence.

Use Timetoast to make dates, milestones, and turning points easier to understand in a clear visual format. Timetoast is a timeline maker for work, school, research, and stories.