Plastic Timeline

By Piz007
  • Nitrocellulose

    Nitrocellulose

    Nitrocellulose is a highly flammable compound formed by nitrating cellulose through exposure to nitric acid, or to a mixture of nitric acid and another acid, usually either hydrochloric acid or sulfuric acid, or to another powerful nitrating agent.
  • Celluloid

    Celluloid

    Celluloids are a class of materials produced by mixing nitrocellulose and camphor, often with added dyes and other agents.
  • Bakelite

    Bakelite

    Bakelite was the first plastic made from synthetic components. It is a thermosetting phenol formaldehyde resin, formed from a condensation reaction of phenol with formaldehyde.
  • Rayon

    Rayon

    Rayon is a regenerated cellulose fiber that is made from natural sources of cellulose, such as wood and related agricultural products.
  • Cellophane

    Cellophane

    Cellophane is a thin, transparent sheet made of regenerated cellulose. Its low permeability to air, oils, greases, bacteria, and water makes it useful for food packaging. Cellophane is highly permeable to water vapour, but may be coated with nitrocellulose lacquer to prevent this.
  • Polyvinyl chloride (PVC)

    Polyvinyl chloride (PVC)

    Polyvinyl chloride is the world's third-most widely produced synthetic plastic polymer.
  • Neoprene

    Neoprene

    Neoprene is a family of synthetic rubbers that are produced by polymerization of chloroprene.[1] Neoprene exhibits good chemical stability and maintains flexibility over a wide temperature range.
  • Nylon

    Nylon

    Nylon is a generic designation for a family of synthetic polymers, based on aliphatic or semi-aromatic polyamides. Nylon is a thermoplastic silky material that can be melt-processed into fibers, films, or shapes.
  • Polyethylene

    Polyethylene

    Polyethylene is the most common plastic in use today. It is a linear, man-made, addition, homo-polymer, primarily used for packaging (plastic bags, plastic films, geomembranes, containers including bottles, etc.).
  • Teflon

    Teflon

    Teflon is a synthetic fluoropolymer of tetrafluoroethylene that has numerous applications. The commonly known brand name of PTFE-based formulas is Teflon by Chemours.
  • Tupperware

    Tupperware

    Tupperware is a home products line that includes preparation, storage, and serving products for the kitchen and home. In 1942, Earl Tupper developed his first bell-shaped container; the brand products were introduced in the year 1948 to the public.
  • Kevlar

    Kevlar

    Kevlar is a heat-resistant and strong synthetic fiber, related to other aramids such as Nomex and Technora.
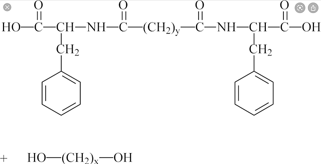
  • Polyester amides

    Polyester amides

    Making an amide is one of the processes which require ammonia as a reactant. There are other processes of preparing an amide such as from acid anhydrides and acyl chloride.

A list shows items. A timeline shows sequence.

Use Timetoast to make dates, milestones, and turning points easier to understand in a clear visual format. Timetoast is a timeline maker for work, school, research, and stories.