You are not authorized to access this page.

History of optics

  • Religió egipcia
    2635 BCE

    Religió egipcia

    Les cultures antigues associaven la llum amb la religió. A Egipte, es creia que la llum procedia de l’ull de Ra, déu del Sol. Ra era el símbol de la llum solar, creador de la vida.
  • Filosofia grega
    569 BCE

    Filosofia grega

    Els primers en pensar sobre un origen de la llum van ser els filòsofs grecs. Afirmaven que la visió com era procés en el qual s’establia una relació entre els ulls de l’observador i l’objecte observat. Per explicar-ho es basaven en explicar la visió. Cada filòsof tenia un pensament diferent:
    Pitàgores: Pensava que alguna cosa es transmetia de l’ull cap a l’objecte.
    Demòcrit: Deia que alguna cosa contenia la informació de les característiques de l’objecte i que era transmesa de l’ull a l’objecte.
  • Filosofia grega
    495 BCE

    Filosofia grega

    Empèdocles: Creia que per veure alguna cosa eraa transmesa de l’ull a l’objecte i vice versa.
    Euclides: Va estudiar les propietats de la llum, moltes d’elles encara vàlides avui en dia: la llei de refracció, la propagació rectilínia dels rajos de llum, la llei de reflexió, ect.
    Els filòsofs grecs consideraven que la llum anava a una gran velocitat, gairabé infinita.
  • Religió cristiana
    1 CE

    Religió cristiana

    En la religió cristiana, la llum també tenia un origen diví, ja que es deia que havia sigut creada per Déu el primer dia de la creació i aquest l’havia separat de la foscor. La llum va ser anomenada dia i la foscor, nit. La bíblia diu que la llum va ser creada abans del sol, la lluna i les estrelles i abans de la creació de l’home. És per això que la llum és considerada com una divinitat, a diferència de la foscor, considerada com el mal.
  • Alhazen
    1000

    Alhazen

    Alhazen, un científic Àrab, va explicar el fenòmen de l’observació d’objectes brillants que causen dolor al observar-los i les imatges que es reprodueixen després dins l’ull després d’una bona estona fixant-nos en aquests objectes.
    Alhazen va basar bona part de les seves conclusions en els experiments i observacions que havia realitzat. També va descriure l’anatomia de l’ull tal com ho havia fet Claudi Galè. Va pensar que la imatge es formava al cristal·lí, cosa que va ser negada més endavant.
  • Segle XIII
    1200

    Segle XIII

    A Itàlia es van crear les primeres lents que servien per millorar la presbícia. Tot i això, continuaven havent-hi molts dubtes sobre la visió i com millorar-la i no s’havien realitzat estudis vàlids.
  • Da Vinci
    1452

    Da Vinci

    Da Vinci va comparar l’estructura de l’ull amb la de la cambra fosca, que consistia en una capsa obscura amb un petit forat pel qual es deixava passar la llum, que formava una imatge a la paret posterior.
  • Segle XVI
    1500

    Segle XVI

    els fabricants d’ulleres holandesos van començar a utilitzar dues lents per augmentar els objectes. Com a conseqüència, el telescopi va ser inventat.
  • Kepler

    Kepler

    Kepler va estudiar la transmissió dels rajos de llum a través de les lents. Es va basar sobretot en l’estudi de l’ull. Van desmentir la creença que la imatge es formava al cristal·lí i va dir que s’enfocava a la còrnia.
  • Galileo Galilei

    Galileo Galilei

    Galileo Galilei va començar a fer els seus propis telescopis amb els quals va descobrir gran quantitat de cossos celestes que no havien sigut observats mai abans.

    Galilei també va provar de mesurar la velocitat de la llum, però no va trobar resposta. Tot i això, va poder observar que la velocitat de la llum és molt més gran que la del so a l’aire.
    A partir dels descobriments de Galileo Galilei, Kepler va arribar a la conclusió que l’angle d’incidència i el de refracció són proporcionals.
  • Snell

    Snell

    Snell va formular la llei de la refracció.
  • Descartes

    Descartes

    Descartes va assumir que la llum estava formada per petites partícules. Va dir que el color es debia a les velocitats angulars. Descartes va ser el primer en relacionar color i llum ja que abans es creia que eren dos fenomens totalment diferents i va descobrir la fórmula correcta de la refracció.
    En relació amb la velocitat de la llum, ell va dir que depenia del material per el qual es propagui.
  • Grimaldi

    Grimaldi

    Grimaldi va experimentar amb el fenomen de la difracció (desviació de la llum quan troba obstacles). També va experimentar amb prismes. Amb totes les observacions que va fer, va concloure que el color és una propietat de la llum. i que la llum realitza un moviment ondulatori, però aquesta teoria era falsa. Finalment, es va arribar a la conclusió que el so i la llum no es propaguen de la la mateixa manera, però que la llum no sempre segueix un moviment rectilini.
  • Römer

    Römer

    Römer es va adonar que la velocitat de la llum no podia ser infinita en observar com canviaven les fases dels satèl·lits naturals de Júpiter vistes des de la Terra. Com a conclusió, va dir que la llum tardava 8 minuts en viatjar des del Sol fins a la Terra. Amb això, va poder determinar la velocitat de la llum (230.000 km/s).
  • Fermat

    Fermat

    Fermat va formular un teorema que deia que la trajectoria real que segueix un raig de llum entre dos punts és aquella en la que triga un temps mínim en recorrer-la.
  • Huygens

    Huygens

    Huygens va pensar que la llum realitzava un moviment ondulatori i així va poder explicar la reflexió i la refracció. Per explicar-ho, però, va puntualitzar que com més dens és el medi, més lenta es propaga la llum.
    La seva formula de la refracció coincidia amb la teoria corpuscular de la llum, però l’explicació era contradictòria.
  • Newton

    Newton

    Newton va destacar per descobrir que els colors espectrals es podien formar al refractar un raig de llum sobre un prisme. Va dir que la llum estava composta per un seguit de colors. Pensava que la llum estava composta de partícules i que la seva atracció amb els prismes era el que causava el fenomen de la refracció. L’atracció depenia de la mida de les partícules, i cada color era una partícula de diferent mida.
  • Newton

    Newton

    També va estudiar la reflexió parcial de materials transparents i els anells de Newton. Els anells es formen quan el feix de llum passa d’un objecte transparent esfèric a un de transparent pla que conté aire al seu interior. Va deduir que mida dels anells depenia de la mida de l’espai entre els objectes. Per últim, també es va centrar en la polarització, però no hi va entrar gaire en detall.
    Les teories de Newton relacionades amb la llum van ser les que més suport teniem en aquella època.
  • Euler

    Euler

    Euler va contribuir a la teoria de les ones de llum i va proposar que a cada color li corresponia una ona diferent, de certa freqüència i llargada.
  • Goethe

    Goethe

    Goethe no estava d’acord amb les explicacions de Newton i creia que els colors estaven relacionats en la manera de percebre’ls. Alguns dels seus experiments van ser amb prismes però en condicions diferents que les de Newton. Les seves conclusions van contribuir molt a l’òptica fisiològica.
  • Young

    Young

    Young va ampliar la teoria dels anells de Newton i també va esbrinar la llargada de les ones de llum: 0,71 micròmetres (blava), 0,42 um (vermella). Els seus estudis van determinar que l’acomodació era causada per diferents formes de les lents oculars. A més, va dir que l’ull conté receptors (cons) que són capaços de detectar colors (vermell, blau-violeta i groc) i que la resta són combinacions d’aquests.
  • Fresnel

    Fresnel

    Fresnel va estudiar el fenomen de la difracció amb profunditat gràcies a la gran quantitats d’experiments que va dur a terme. Va considerar que la llum es de propagava com a una suma de les ones de Huygens, que produeixen tant difracció com efectes d’interferència.
  • Foucault

    Foucault

    Foucault va observar que la llum es refractava més lentament a l’aigua que a l’aire.
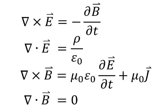
  • Maxwell

    Maxwell

    Maxwell va combinar tots els coneixements sobre el magnetisme i l’electricitat i va formular un seguit d’equacions. conegudes com les equcions de Maxwell. Gràcies a això, va descobrir que amb la combinació de dues constants (permeabilitat al buit i permitivitat al buit) s’arribava a un nombre que coincidia amb la velocitat de la llum al buit. Com a conseqüència, va suposar que la llum era electromagnètica.
  • Hertz

    Hertz

    Hertz va concloure que les ones electromagnètiques segueixen les mateixes fórmules de refracció i reflexió que la llum i que també es propaguen a la mateixa velocitat. Això va servir per afirmar que la llum és una ona electromagnètica.
  • Planck

    Planck

    Planck va estudiar va estudiar intentava conciliar la teoria clàssica amb una descripció de la radiació electromagnètica depenent de la temperatura d’un
    material absorbent. Deia que l'energia interna del cos negre només podria canviar com un nombre enter de petits quantums (una partícula molt petita d’energia).
  • Einstein

    Einstein

    Einstein va suposar que la llum també consistia de partícules minúscules, com els cossos negres. D’aquesta manera va poder explicar l’efecte fotoelèctric.
    També va suposar que la velocitat de la llum era independent al moviment de l’observador. Va iniciar la teoria de la relativitat.
  • Bohr

    Bohr

    Bohr va proposar el sistema planetari de l’àtom, amb electrons al voltant que són capaços de moure’s d’un àtom a un altre. Aquest model va perdurar durant molt de temps, però va acabar sent substituït per altres models ja que no era del tot correcte.
  • Lewis

    Lewis

    Lewis va donar nom als fotons, les petites partícules que formen la llum.
  • 1983

    1983

    La velocitat de la llum es defineix com a un valor constant de 299,792.458 km/s. La mesura del metre es defineix basant-se en la distpancia que la llum recorre en un intervant d’299.792.458 s.

Plan projects on a visual timeline

Map milestones, phases, deadlines, and key events in one place so the sequence is easier to see and share. Timetoast is a timeline maker for work, school, research, and stories.