Historia y avances de los gases

  • Jan Baptist van Helmont

    Considerado el padre de la química neumática, creó el vocablo gas (durante un tiempo se usó también «estado aeriforme»), a partir del término griego kaos (desorden) para definir las características del anhídrido carbónico. Esta denominación se extendió luego a todos los cuerpos gaseosos, también llamados fluidos elásticos, fluidos compresibles o aires, y se utiliza para designar uno de los estados de la materia.
  • Ley de Boyle

    Ley de Boyle

    Es una de las leyes que determinan el comportamiento de los gases. Establece que si la temperatura se mantiene constante, el volumen y la presión de una cierta cantidad de gas tienen una relación inversamente proporcional.
  • LAVOISIER

    LAVOISIER

    A partir de los trabajos de Priestley, Lavoisier distinguió entre un aire que no se combina tras la combustión (el nitrógeno) y otro que sí lo hace, al que denominó oxígeno.
  • Gas Real

    Gas Real

    En condiciones normales, cuando su fórmula química sea sencilla y su relatividad baja, la presión y temperatura de los gases reales se equipararán a las de los gases ideales, como ocurre con el helio. Las propiedades del gas real no pueden ser explicadas mediante la ley de los gases ideales; para entenderlas se deben tomar en cuenta los efectos de compresibilidad, la capacidad calorífica, los efectos termodinámicos del no-equilibrio y las fuerzas de Van der Waals.
  • Ley de Charles

    Ley de Charles

    Esta ley establece la relación que existe entre la temperatura de los gases y el volumen que ocupan. Cuando realices el experimento y tras tallar unos segundos la parte superior de la lata de refresco se producirá el efecto de la Ley de Charles.
  • Ley de Gay Iussac

    Ley de Gay Iussac

    Permite estudiar el comportamiento de los gases y es estudiada habitualmente en física y química. Relaciona la presión del gas con la temperatura, mientras se mantienen constantes otros parámetros como el volumen y la cantidad de sustancia.
  • Ley combinada de gases

    Cuanto mayor sea la temperatura, mayor va a ser la velocidad de las moléculas y, por tanto, más grande debe ser el volumen a fin de que la presión no varíe. Un gas ideal es un gas teórico compuesto de un conjunto de partículas puntuales con desplazamiento aleatorio que no interaccionan entre sí.
  • Ley de Dalton

    Ley de Dalton

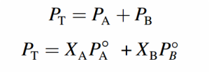
    La ley de Dalton establece que en una mezcla gaseosa, cada gas ejerce su presión como si los otros gases no fueran presentes. Esta presión recibe el nombre de presión parcial (Pi) como la que ejercería si ocupase todo el volumen de la mezcla a la misma temperatura
  • Presiones parciales

    Presiones parciales

    Suponiendo que tenemos una mezcla de gases ideales, podemos utilizar la ley de los gases ideales para resolver problemas que involucran gases en una mezcla.
    La ley de presión parcial de Dalton dice que la presión total de una mezcla de gases es igual a la suma de las presiones parciales de los gases que componen la mezcla
  • William Henry

    estudió la disolución de los gases y formuló la ley que lleva su nombre: “A temperatura constante, la solubilidad de un gas en un líquido es proporcional a la presión del gas, siempre que no tengan lugar reacciones químicas entre el gas y el líquido”.
  • Ley de Avogadro

    Ley de Avogadro

    firma que las masas de un volumen patrón de diferentes gases (densidades) son proporcionales a la masa de cada molécula individual. Es decir, afirma que dos volúmenes iguales de gases diferentes contienen el mismo número de moléculas. Aunque esto sólo se observa si sus condiciones de temperatura y presión son las mismas.
  • Estado del gas ideal

    Estado del gas ideal

    En gases idóneas al acrecentar la presión, para comprimir el gas la temperatura incrementa. La ecuación de Bolztman detalla que la energía cinética promedio del gas es igual a (3/2) la constante de Bolztman multiplicada por la temperatura.
  • William Ramsay

    Publicó importantes trabajos sobre los óxidos de nitrógeno y en un trabajo conjunto con Lord Rayleigh, observó que el nitrógeno en la atmósfera de la tierra tenía un peso atómico mayor que el nitrógeno en el laboratorio y en 1894, en un congreso de la Asociación Británica, anunciaron conjuntamente el descubrimiento del argón.

Looking for a timeline maker?

Create timelines for projects, roadmaps, history, lessons, legal cases, and stories with Timetoast. Timetoast is a timeline maker for work, school, research, and stories.