Historia de la organometálica

  • Primer compuesto organometálico

    Primer compuesto organometálico

    En 1760, el químico francés Louis Claude Cadet de Gassicourt (1731-1799) sintetizó un líquido rojo por la reacción de acetato de potasio con trióxido de arsénico.
  • Primer compuesto de olefina (y de organotransición)

    Primer compuesto de olefina (y de organotransición)

    El siglo XIX está marcado por el descubrimiento del primer complejo π organometálico en 1827: la sal de Zeise​, cuyo nombre químico es tricloro(eteno)platinato(II) de potasio. Su estructura se determinó en 1950. El orbital enlazante del eteno, dona electrones al metal. Los orbitales d llenos (dxz, dyz) del metal donan electrones a los orbitales antienazantes del eteno.
  • Identificación del primer compuesto organometálico

    El investigador Bunsen logró identificar el compuesto sintetizó Cadet.
  • Dietilzinc

    Dietilzinc

    Edward Frankland sintetizó compuestos organomercurio y haluros de alquilmercurio. Introdujo el concepto de valencia y el término
    organometálico. Los derivados de Zn y Hg se utilizaron para obtener otros compuestos organometálicos del grupo principal por reacción de transmetalación.
  • Complejos organoplomo

    C. J. Löwing y M.E.Scheizer en Zurich sintetizó complejos
    organoplomo a partir del haluro de alquilo, plomo y sodio amalgamado.
    En 1922 Midgeley y colaboradores (General Motor Company),
    encontraron que el tetraetilo de plomo servía como agente antidetonante
  • Compuestos organoclorosilanos

    C. Friedel y J. M. Crafts prepararon los primeros compuestos
    organoclorosilanos. En 1994 se elaboraron más de 6000 toneladas de compuestos organosilicio, constituyéndose en el mayor compuesto organometálico producido a gran escala.
  • Alquilmagnesianos

    C. Wanklyn desarrollo un método para la síntesis de
    compuestos alquilmagnesianos libre de haluros
  • [Pt(CO)Cl2]2

    [Pt(CO)Cl2]2

    M.P. Schutzenberger obtuvo los primeros complejos carbonil-M
  • Compuestos organometálicos en la tabla periódica

    D.I.Mendeleev estudió compuestos organometálicos como prueba
    para su tabla periódica.
  • NiCO4

    NiCO4

    L Mond estudió la corrosión durante el proceso Solvay y encontró el primer carbonilo binario.
  • Comienzo de la química organometálica

    Comienzo de la química organometálica

    A mediados del siglo XX, Philippe Barbier y su alumno Victor Grignard, a los que se le atribuyen la reacción de Barbier y los reactivos de Grignard.
  • (C6H5)2SiO

    (C6H5)2SiO

    L.F.S. Kipping prepara (C6H5)2SiO, lo denomina difenilsilicona al sospechar de su alta molecularidad.
  • Salvarsan

    Salvarsan

    P. Ehrlich, inventor de la quimioterapia (Nobel 1908), preparó el remedio para la sífilis ampliamente usado SALVARSAN (4-OH(3-NH2)C6H3-As-)5
  • (CH3)3PtI

    (CH3)3PtI

    W. J. Pope sintetizó el primer complejo organometálico de un
    metal de transición con enlace σ.
  • Catálisis

    La primera mitad del siglo XX estuvo muy marcada por la catálisis. Paul Sabatier hizo una distinción sobre la catálisis homogénea y la catálisis heterogénea.Se reconocen sus trabajos de la hidrogenación de olefinas.
  • Transalquilación

    W. Schlenk, preparó reactivos de alquillitios a través de la
    transalquilación:
  • Compuesto “sandwich"

    Compuesto “sandwich"

    F. Hein sintetizó el primer complejo metálico con un aromático;
    para la época denominado compuesto polifenilcromo.
  • Proceso Fischer-Tropsh

    Proceso Fischer-Tropsh

    Se desarrolla el proceso Fischer-Tropsh para la síntesis de
    hidrocarburos líquidos por reacción del CO con H2 (1-300 atm)
    a 180-300ºC en presencia de catalizadores de Ni, Co o Fe.
  • Carbonilos metálicos

    W. Hieber inicia su estudio sistemático de
    carbonilos metálicos. Con metales como Cr, Co y Mn.
  • Proceso oxo

    Proceso oxo

    Otto Roelen descubrió el proceso OXO catalizado por complejos
    de Cobalto
  • Científicos reconocidos

    A lo largo del 1915-1950 existieron numerosos científicos que ayudaron al desarrollo de la química organometálica, sintetizando compuestos organometálicos como Thomas Midgley que desarrolló el tetraetilo de plomo, Eugene Rochow desarrolló la síntesis directa de compuestos organometálicos de silicio a partir de halogenuros orgánicos y silicio elemental.
  • Desarrollo de la química organometálica

    Desarrollo de la química organometálica

    P. Pauson y T. Kealy quienes sin querer descubrieron el primer compuesto sándwich, el ferroceno, en 195, pero sólo hasta el año siguiente Geoffrey Wilkinson y Ernst Otto Fischer pudieron elucidar la estructura química.
  • Organocupratos

    H. Gilman prepara LiCu(CH3)2 e inicia la síntesis de una nueva clase de compuestos muy importantes: los organocupratos
  • Síntesis de olefinas

    G. Wittig desarrolla una nueva síntesis de olefinas partiendo de
    iluros de fosfonio y carbonilos metalicos (Premio Nobel en 1979)
  • Contribuciones químicas

    Henry Gilman los organocupratos o reactivo de Gilman (LiCuR2).
    Georg Wittig, lo que se conoce como reacción de Wittig.Debido a esta nueva síntesis, en 1979 recibe el premio Nobel.
    Karl Ziegler y Giulio Natta, la polimerización de olefinas utilizando derivados solubles de titanio y aluminio.
  • Poliolefinas

    Poliolefinas

    K.Ziegler, G. Natta, sintetizaron poliolefinas a partir de etileno o
    propileno en un proceso a baja presión, empleando mezclas de
    catalizadores metálicos (haluros de metal de transición/AlR3)
    (Premio Nobel, 1963)
  • Hidroboración

    Hidroboración

    H.C. Brown, hidroboración (Premio Nobel 1970)
  • [(C3H5)PdCl]2

    [(C3H5)PdCl]2

    J. Smidt, W. Hafner, prepararon [(C3H5)PdCl]2, establecieron el
    campo de complejos metálicos de transición p-alil.
  • Closo-borano

    Closo-borano

    M.F.Hawthorne prepara el icosaedro closo-borano dianiónico
    [B12H12]2-
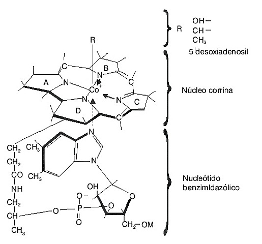
  • Vitamina B12

    Vitamina B12

    Crowfood y Hodgkins determinaron la estructura de rayos X de la vitamina B12 aislada del hígado como cristales rojos. Debido a los enlaces Co-C en el quelato, se constituyó como el primer compuesto
    natural con enlace metal carbono. (Premio Nobel 1964)
  • Catalizador de iridio

    L.Vaska - catalizador de iridio (hidrogenación de alquenos) trans-(PPh3)2Ir(CO)Cl. Permitió estudiar las reacciones de adición oxidativa
  • Polimerización estereospecífica de alquenos

    Polimerización estereospecífica de alquenos

    Premio Nobel para Karl Ziegler y Giulio Natta por el catalizado. Primera aplicación: polietileno
  • Química organometálica de enlaces múltiples

    Química organometálica de enlaces múltiples

    El primer complejo organometálico con un doble enlace entre metal y ligando, llamado carbeno se sintetizó por Ernst Otto Fischer.
  • Catalizador de Wilkinson

    Catalizador de Wilkinson

    Wilkinson y Coffey (independientemente) desarrollaron su
    catalizador de hidrogenación de alquenos.
  • Monosulfuro de Carbono

    G. Wilkinson estabiliza el altamente reactivo monosulfuro de
    carbono en el complejo de rodio (Ph3P)2Rh(Cl)CS.
  • Reacción de Heck

    Reacción de Heck

    Richard Heck fue quien descubrió la reacción que catalizada por paladio, consiste en la sustitución de un átomo de hidrógeno vinílico por un halogenuro de un arilo, bencilo o estireno.
  • Sandwich triple

    Sandwich triple

    H. Werner, sintetizó [(C5H5)3Ni2]+, el primer complejo sandwich triple.
  • Carbeno de Schrock

    Richard R. Schrock fue quien sintetizó el primer compuesto carbeno nucleófilo. Demostró que algunos de estos complejos son catalizadores de la dimerización de olefinas y de la metátesis de alquenos y alquinos. Carbenos de Schrock no tienen ligandos pi-aceptación.
  • Adiponitrilo

    Adiponitrilo

    DuPont patentó la hidrocianación del butadieno para la obtención
    del adiponitrilo.
  • Dimetalenos

    M. F. Lappert abre el campo del estudio de los dimetalenos de los
    elementos del grupo principal con la síntesis de [(Me3Si)2CH]2Sn=Sn[CH(SiMe3)2]2
  • OM semiempírico

    Premio Nobel para R.Hoffmann y K.Fukui, por sus aportes a los
    conceptos del OM semiempírico, en una discusión unificada de la
    estructura y reactividad de moléculas inorgánicas, orgánicas y
    organometálicas (analogía isolobal).
  • Desarrollo de la activación C-H y nuevos compuestos organometálicos

    Desarrollo de la activación C-H y nuevos compuestos organometálicos

    La adición oxidante es un tipo de reacción química, relacionada con los procesos en la química organometálica y en la que aumenta tanto el estado de oxidación como el número de coordinación de un centro metálico.
  • Enlace agóstico

    Enlace agóstico

    Brookhart y Green descubrieron el enlace agóstico, donde el
    hidrógeno está enlazado al carbón y al metal de transición
    simultáneamente.
  • Metaloceno

    S.Harder prepara el metaloceno más ligero, el anión litoceno
    [Li(C5H5)2]–
  • Primer s-complejo de un silano

    Primer s-complejo de un silano

    G.Kubas sintetiza el primer s-complejo de un silano y estudia el
    tautomerismo con la forma hidrurosilil: esta observación contribuye
    al entendimiento del mecanismo de activación del enlace C–H.
  • Complejo Gérmico

    P.P.Power preparó el primer complejo germino con enlace triple
    molybdeno–germanio.
  • Primer compuesto triple enlace Si

    A.Sekiguchi caracteriza completamente el R–Si≡Si–R, el primer
    compuesto con un triple enlace Si-Si.
  • Metátesis de olefinas

    Premio Nobel para Y.Chauvin, R.R.Schrock, y R.H.Grubbs por los
    estudios orientados sobre el mecanismo y aplicaciones de catalizadores activos en la metátesis de olefinas.