Évolution des plastiques et des métaux

  • Nitrate de cellulose

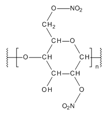
    Nitrate de cellulose

    Le nitrate de cellulose, souvent appelé nitrocellulose, est utilisé en photographie depuis les années 1840 (Hager, 1983) et sert à la fabrication d'explosifs depuis 1845 (Roff et coll., 1971) et d'objets de plastique moulé depuis 1870 environ (Dubois, 1943). Il a été mis en marché sous différentes marques de commerce comme Celluloïd, Collodion, Fulmicoton, Pyraline, Pyroxyline et Xylonite.
  • Ancien Bessemer

    Ancien Bessemer

    Le procédé Bessemer est un procédé d'affinage de la fonte brute, aujourd’hui disparu, ayant servi à fabriquer de l'acier peu coûteux. Ce procédé porte le nom de son inventeur, Henry Bessemer, qui le brevette en 1855 et le perfectionne avec la Henry Bessemer and Company, société implantée à Sheffield, ville du Nord de l'Angleterre.
  • Le celluloïd , Heyatt

    Le celluloïd , Heyatt

    Composé de nitrate de cellulose et de camphre, Elle est considérée comme la toute première matière plastique artificielle dont l'origine remonte à 1856.
    Son invention revient le plus souvent aux frères Hyatt en 1870.
    Le celluloïd est très inflammable et n'est quasiment plus utilisé aujourd'hui. On le retrouve le plus communément dans les balles de ping pong ou dans l'industrie cinématographique.
  • Viaduc de Garantir en fer  , Eiffel

    Viaduc de Garantir en fer , Eiffel

    Les pièces de fer destinées au viaduc de Garabit sont usinées dans les locaux de la compagnie Eiffel à Levallois Perret, transférées des ateliers à la gare la plus proche en camions hippomobiles puis acheminées jusqu’à la gare de Neussargues. Les 34 kilomètres restants sont parcourus par de lourds attelages composés de 6 à 8 chevaux. Ces pièces arrivent peintes au minium, quasiment prêtes au montage avec les trous des rivets déjà pratiqués, et accompagnées de leurs croquis cotés.
  • Aluminium par électrolyse , Hall

    Aluminium par électrolyse , Hall

    La production de l'aluminium par électrolyse est le procédé qui permet de fabriquer le métal aluminium à partir de l'alumine extraite de la bauxite. Le procédé a été inventé simultanément par Paul Héroult en France et Charles Martin Hall aux États-Unis en 1886, et il est couramment appelé « procédé Hall-Héroult ».
  • Le cellophane , Braderberger

    Le cellophane , Braderberger

    cellophane est un film fin et transparent constitué d'hydrate de cellulose. C'est un matériau très utilisé pour les emballages alimentaires du fait de sa transparence et de son étanchéité aux micro-organismes. À l'époque de sa découverte il n'y avait pas d'autre matériau souple et parfaitement transparent, les plastiques modernes n'existant pas encore. On peut donc surveiller la conservation d'un aliment (telles les confitures) sans ouvrir le récipient
  • Bakélite , Baekeland

    Bakélite , Baekeland

    La Bakélite est la marque de fabrique d'un matériau de la classe des phénoplastes dont la nomenclature chimique officielle est anhydrure de polyoxybenzylméthylèneglycol. Ce fut le premier plastique fait de polymères synthétiques du benzène sous solvants. Elle fut développée entre 1907 et 1909 par le chimiste belge Leo Baekeland.
  • PVC , Klatte

    PVC , Klatte

    En chimie le PVC est un matériau plastique qu'on appelle polychlorure de vinyle ou chlorure de polyvinyle. Il a été découvert en 1835 par accident par un physicien français, Victor Regnault. Le premier brevet a été déposé en 1914 par l'allemand Friedrich Klatte et la production industrielle du PVC a débuté en 1935.
  • Plexiglas , Barker et Skinnee

    Plexiglas , Barker et Skinnee

    En 1924, les chimistes Barker et Skinner obtiennent un verre organique, le polyméthacrylate de méthyle (PMMA), commercialisé par Rohm en 1934 sous le nom de plexiglas. Le PMMA, apprécié pour sa transparence et sa solidité, sert à faire des enseignes lumineuses, des meubles, etc. Il est connu en France sous le nom d’altuglas. C’est à une famille plus complexe de méthacrylates qu’appartiennent les verres organiques de lunettes
  • Polyamide , Carithers

    Polyamide , Carithers

    L'polyamide est un polymère synthétique fabriqué à partir de plastiques à base de pétrole. Il est composé de molécules extrêmement longues et lourdes avec des unités répétitives liées par des liaisons amide. Le polyamide a été l'un des premiers tissus synthétiques découverts avant la première guerre mondiale. La société chimique américaine DuPont a produit des polyamides pour la première fois en 1938.
  • Le téflon

    Le téflon

    polymère thermoplastique est thermostable, possède une grande inertie chimique et a un très grand pouvoir anti-adhésif.
  • Polypropylène , Natta

    Polypropylène , Natta

    La catalyse de Ziegler-Natta est un procédé chimique permettant la synthèse de polymères vinyliques à la tacticité contrôlée. Mise au point par Karl Ziegler et Giulio Natta au début des années 1950, elle leur vaut le prix Nobel de chimie dès 1963. Initialement basée sur un catalyseur obtenu à partir de tétrachlorure de titane et de triéthylaluminium, le procédé a connu plusieurs modifications et les dernières générations de catalyseurs font intervenir des complexes de zirconium.
  • Fibre optique , Narinder S , Kapany

    Fibre optique , Narinder S , Kapany

    Une fibre optique est un fil dont l’âme , très fine, en verre ou en plastique, a la propriété de conduire la lumière et sert pour la fibroscopie, l'éclairage ou la transmission de données numériques. Elle offre un débit d'information nettement supérieur à celui des câbles coaxiaux et peut servir de support à un réseau « large bande » par lequel transitent aussi bien la télévision, le téléphone, la visioconférence ou les données informatiques.
  • Le polyphtalamide ( un superpolyamide)

    Le polyphtalamide ( un superpolyamide)

    Le polyphtalamide est un polyamide modifié. Ce thermoplastique est résistant, mécaniquement et thermiquement stable.

Looking for a timeline maker?

Create timelines for projects, roadmaps, history, lessons, legal cases, and stories with Timetoast. Timetoast is a timeline maker for work, school, research, and stories.