Eredu Atomikoak by Nerea Dominguez

  • Demokrito
    1 BCE

    Demokrito

    Demokrito filosaofo greziarra izan zen Leoziporen ikaslea. Materia atomoz osatuta dagoela, hipotesitzat hartu zuen lehena. Atomo hitzak zatiezina esan nahi du eta tamaina eta forma desberdinetakoak izan daitezke. Ideia hauek ezin izan dira ideiatzat hartu oinarri zientifikorik ez duelako baina aipagarria iruditu zait, bera izan baitzen nano mundu honi hasiera eman ziona.
  • Dalton
    1 CE

    Dalton

    TEORIA ATOMIKOAREN SORTZAILEA DA. Materia atomoz osatuta dago eta partikula trinko, zatiezin eta suntsiezina da, bere esanetan. Elementu kimiko batek diruen atomoak berdinak dira baina konposatuetan elkartzen diren atomoak ez. Konposatuetan atomoak era proportzialetan elkartzen dira, zenbaki simpleetan. Atomoak zirkularrak direla ere esan zuen.
  • E. Rutherford (kimikako nobel saria)
    1 CE

    E. Rutherford (kimikako nobel saria)

    Thomsonen eredua hobetu zuen. Atomoaren erdigunean, karga positibodun masa dago, protoiak. Elektroiak askoz txikiagoak dira eta erdigunetik hurrun biratzen dutela, nukleoaren inguruan, baieztatu zuen. Rutherford-ek erradioaktibitateari buruz esperimentu bat diseñatu zuen beste bi laguntzailerekin. Esperimentu hori urrezko xaflaren esperimentua da. Zenbait partikula subatomiko galtzeko edo jasotzeko fenomenoari erradioaktibitatea esaten zaio. Ondorioz, nukleo atomikoek erradiazioa igortzen dute.
  • Bohr (Fisikako nobel saria)
    1 CE

    Bohr (Fisikako nobel saria)

    Elektroiak nukleoaren inguruan orbitatzen dutela jakin badakigu, baina Bohr-ek orbita zirkular jakin batzutan biratzen dutela demostratu zuen. Elektroaiak geruzatan antolatzen dira, energia-maila jakin batzuetan baino ez dira biratzen. Ezaugarri horri kuantizatuta egotea deritzo. Arnold Sommerfeld-ek konfigurazio elektronikoa sortu zuen geroago. Maila bakoitza, zenbait azpimailatan banatuta zegoela baieztatu zuen. Azpimaila bakoitzak elektroi-kopuru jakin bat har zezakeen gehienez.
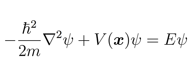
  • Eredu mekaniko-kuantikoa (Schrödinger)
    1 CE

    Eredu mekaniko-kuantikoa (Schrödinger)

    Honako honek ez zuen eredu atomiko bat sortu ekuazio bat baizik. "Orbital atomiko" kontzeptuaren sortzailea da. Elektroiak aldi berean partikulak eta uhinak dira. Berak, hidrogeno atomo baten elektroiez baliatuz uhin-ekuazioa lortu zuen. Ekuazioaren bitartez, elektroia egoteko aukera-zonaldeak grafikoetan irudikatu ahal dira. Eredu honen ekuazioek elektroiek atomoaren barnean duten portaera deskribatzen dute: alde batetik elektroien izaera ondulatorioa eta, beste aldetik, horien ibilbideak.
  • J.Thomson (fisikako nobel saria)
    1 CE

    J.Thomson (fisikako nobel saria)

    Thomson-ek esan zuenez, atomoa dentsitate uniformekoa zen eta
    karga positiboa zuen masa esferikoa batean tinkaturik zeuden elektroiz osaturik zegoen, multzo osoa neutroa eta egonkorra zelarik. Plum pudding model jarri zion izena. Karga positibo dun antzeko zerbait da zientzialari honen ustez atomoa, eta karga positibo hori elektroien karga negatiboen bidez konpentsatzen da, atomoa neutro bihurtzen. Bera izan zen elektroiak deskubritu zituena.

Want to make a timeline like this?

Use Timetoast to turn dates, events, milestones, and phases into a clear visual timeline you can build and share. Timetoast is a timeline maker for work, school, research, and stories.