Desenvolvimento Histórico do Conceito de Matrizes e de Determinantes

  • Os primeiros tempos
    1650 BCE

    Os primeiros tempos

    Dos registros de algoritmos de resolução de equações dos babilônios e chineses às cartas de Leibniz a L’Hospital.
  • Nove capítulos da arte matemática - China
    208 BCE

    Nove capítulos da arte matemática - China

    Método Fangcheng, este algoritmo toma um capítulo inteiro
    do livro Jiuzhang Suanshu (“Nove capítulos da arte matemática”).
  • A Notação de Leibniz

    A Notação de Leibniz

    Leibniz usou um conjunto sistemático de índices como coeficiente de um sistema de três equações lineares em duas incógnitas, x e y.
  • De Cramer a Gauss

    Um roteiro das idéias que levaram à formação das teorias
    sobre determinantes e dos fundamentos da álgebra linear.
  • A Regra de Cramer

    A Regra de Cramer

    A Regra de Cramer foi apresentada como um apêndice de sua Introduction à l’analyse e visava simplificar o tratamento algébrico necessário para a solução do sistema de n equações lineares com n incógnitas (ao qual foi reduzido o problema das cônicas).
  • De Cauchy a Cayley

    De Cauchy a Cayley

    A consolidação das teorias sobre determinantes e o surgimento
    da primeira proposta de uma álgebra das matrizes
  • Superfícies Curvas

    Superfícies Curvas

    Gauss tinha sido comissionado para supervisionar uma medição precisa do meridiano entre as cidades de Göttingen e Alton, e confeccionar um mapa geodésico do Ducado de Hannover. T
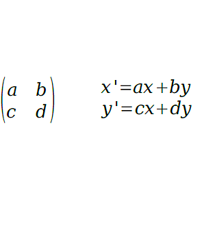
  • A Memoir on the Theory of Matrices

    A Memoir on the Theory of Matrices

    Cayley apresentou as matrizes como arranjos com m linhas e n colunas, compostos pelos coeficientes de uma transformação linear e que serviam como notação abreviada dessa última.

Want to make a timeline like this?

Use Timetoast to turn dates, events, milestones, and phases into a clear visual timeline you can build and share. Timetoast is a timeline maker for work, school, research, and stories.