Adn thumb

Descubrimiento del ADN

By racso16
  • Period: to

    ADN

  • Descubrimiento de las nucleínas

    Descubrimiento de las nucleínas

    En 1869 un biólogo suizo Johann Friedrich Miesscher, utilizo primero alcohol caliente y luego una pepsina enzimática, que separa la membrana celular y el citoplasma de la célula.
    De esta manera Miescher identifico a un nuevo grupo de substancias celulares a las que denomino nucleínas.
  • Descubrimiento del ADN mediante la fucsina

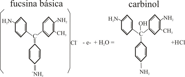
    Descubrimiento del ADN mediante la fucsina

    Robert Feulgen, en 1914, describió un método para revelar por tinción el ADN, basado en el colorante fucsina. Se encontró, utilizando este método, la presencia de ADN en el núcleo de todas las células eucariotas, específicamente en los cromosomas.
  • Descubrimiento de las cuatro bases nitrogenadas

    Descubrimiento de las cuatro bases nitrogenadas

    Durante los años 20, el bioquímico P.A. Levene analizo los componentes del ADN, los ácidos nucleicos y encontró que contenía cuatro bases nitrogenadas: citosina y timina (pirimidinas), adenina y guanina (purinas); el azúcar desoxirribosa; y un grupo fosfato
  • ADN como material hereditario

    ADN como material hereditario

    En los años 40, Oswald Avery, Colin MacLeod, y Maclyn McCarty revisaron el experimento de Griffith y concluyeron que el factor de transformación era el ADN. Oswald Avery demostró que el factor de transformación era el ADN repitiendo el trabajo de Griffith con el agregado de una enzima que destruía el ADN. Cuando Avery agregaba esta enzima, no observaba la transformación obtenida por Griffith . El concluyó que el material hereditario era ADN y no una proteína.
  • Confirmacion del ADN como material hereditario

    Confirmacion del ADN como material hereditario

    En 1952 Alfred D. Hershey y Martha Chase realizaron una serie de experimentos destinados a dilucidar si el ADN o las proteínas eran el material hereditario. Marcando el ADN y las proteínas con isótopos radioactivos el experimento demostraría cual de ellos entraba en la bacteria.
  • Estructura del ADN, modelo de la doble hélice

    Estructura del ADN, modelo de la doble hélice

    James D. Watson y Francis Crick fueron los dos co-descubridores de la estructura del ADN en 1953. Utilizaron datos de rayos X de difracción obtenidos por Rosalind Franklin y propuso la doble hélice o de la estructura de la escalera de caracol del ADN molécula. Su artículo, la estructura molecular de los ácidos nucleicos: Una estructura para el ácido desoxirribonucleico , es famoso por su tratamiento de la forma B del ADN.
  • Iniciación del Proyecto Genoma Humano

    Iniciación del Proyecto Genoma Humano

    El Gobierno de los Estados Unidos se había propuesto en 1990 iniciar el Proyecto Genoma Humano con el fin de conocer nuestro código genético. Se fundó con una asignación multimillonaria el Instituto de Investigación Nacional del Genoma Humano. Un enorme grupo internacional de científicos de diversas instituciones empezaron a trabajar para alcanza el objetivo fijado en el plazo de 15 años.
  • Descifrado del genoma humano

    Descifrado del genoma humano

    La compañía estadounidense Celera Genomics anunció el 6 de abril de 2000 que ha completado la secuenciación del genoma de una persona. El método que ha utilizado consiste en cortar en trozos el genoma, analizar su secuencia y después por medio de ordenadores muy potentes empalmar unos fragmentos con otros. La secuenciación ha terminado ya, y la empresa ha asegurado que el problema de la ubicación de cada fragmento se resolverá en seis semanas.
  • Presentación del genoma humano

    Presentación del genoma humano

    El día 26 de Junio de 2000 se hicieron oficialmente públicos los resultados del proyecto genoma. Un millar de científicos de 18 países organizados en dos grupos uno de financiación pública y otro privado han participado en este proyecto. A partir de ahora, una vez que toda la información esté ordenada, comienza el trabajo para dar significado a los elementos del código genético que ahora se han descifrado.
  • Primeros informes sobre el genoma humano

    Primeros informes sobre el genoma humano

    A primeros de noviembre de 2000 I.Dunham, coordinador del grupo de investigación de Genética Humana del Sanger Centre (Reino Unido), comunica que el número de genes que compone el genoma humano es mucho menor de lo previsto entre 35.000 y 40.000, aproximadamente el doble que los que corresponden a la mosca Drosophila. Duncan achaca el error de cálculo a la falta de información que se tenía hasta la publicación del primer borrador del genoma y a uncierto egocentrismo cultural de los humanos.
  • Presentación mundial del código genético humano

    Presentación mundial del código genético humano

    El día 12 de Febrero de 2001 se hizo la presentación oficial de los dos borradores del genoma humano presentados por los dos equipos que lo han estado investigando: por un lado, el consorcio público de investigadores de distintos países y, por otro, la empresa privada Celera Genomics.
    Los resultados que se han presentado muestran que el hombre posee unos 30.000 genes, bastante menos de lo esperado a partir de la cantidad de ADN presente en sus células.

A list shows items. A timeline shows sequence.

Use Timetoast to make dates, milestones, and turning points easier to understand in a clear visual format. Timetoast is a timeline maker for work, school, research, and stories.