• Tales de Mileto
    600

    Tales de Mileto

    fue el primero, que cerca del 600 AC, conociera el hecho de que el ámbar, al ser frotado adquiere el poder de atracción sobre algunos objetos.
  • William Gilbert

    William Gilbert

    Descubrió la implantación por influencia, concluyó que la tierra se comporta como un gran imán
  • Alemán Otto Von Guericke

    Alemán Otto Von Guericke

    el Físico Alemán Otto Von Guericke (1602-1686), desarrolló la primera máquina electrostática para producir cargas eléctricas
  • Stephan Gray

    Stephan Gray

    Stephan Gray descubre que la electricidad puede ser transmitida.
  • François de Cisternay du Fay

    François de Cisternay du Fay

    existencia de cargas de distinto signo (que llamó vítrea y resinosa) y la fuerza de repulsión existente entre cuerpos cargados con electricidad del mismo signo.
  • Condensador eléctrico

    Condensador eléctrico

    se desarrolla lo que daría paso al Condensador Eléctrico, la botella de Leyden por E. G. Von Kleist (1700-1748) y Pieter Van Musschenbroeck (1692-1761) en la Universidad de Leyden.
  • Benjamín Franklin

    Benjamín Franklin

    demostró que las nubes están cargadas de electricidad y que, entonces, los rayos son descargas de tipo eléctrico. Definió conceptos tales como el de la electricidad negativa y positiva, a partir de la observación del comportamiento de las varillas de ámbar, y enunció el principio de conservación de la carga eléctrica.
  • Joseph Priestley

    Joseph Priestley

    prueba que la fuerza que se ejerce entre las cargas eléctricas varía inversamente proporcional a la distancia que la separan.
  • Charles Agustín de Coulomb

    Charles Agustín de Coulomb

    describió por primera vez de manera matemática y correcta la ley de atracción o repulsión entre cargas eléctricas, inventó la balanza de torsión con la cual, midió con exactitud la fuerza entre las cargas eléctricas
  • Alejandro Volta

    Alejandro Volta

    construye la primera celda Electrostática y la batería capaz de producir corriente eléctrica. El Físico Italiano Luigi Galvani (1737-1798) propuso la teoría de la Electricidad Animal. Experimento de Galvani en ranas. Pila de Volta
  • Period: to

    Sir Humphry Davy

    desarrolla la electroquímica (nombre asignado por él mismo), explorando el uso de la pila de Volta o batería, y tratando de entender como ésta funciona, en 1801 observa el arco eléctrico y la incandescencia en un conductor energizado con una batería. En 1815 inventa la lámpara de seguridad para los mineros.
  • Francés Siméon-Denis Poisson

    Francés Siméon-Denis Poisson

    el matemático Francés Siméon-Denis Poisson (1781-1849) publicó su trabajo más importante relacionado con la aplicación matemática a la Electricidad y Magnetismo, describiendo las leyes de la electrostática.
  • electromagnetismo

    electromagnetismo

    el científico Danés Hans Christian Oersted (1777-1851) descubre el electromagnetismo
  • ley de Biot-Savart

    ley de Biot-Savart

    Jean-Baptiste Biot (1774-1862) y Felix Savart (1791-1841) Franceses, determinan la conocida ley de Biot-Savart mediante la cual, calculan la fuerza que ejerce un campo magnético sobre una carga eléctrica y definen que la intensidad del campo magnético producido por una corriente eléctrica es inversamente proporcional al cuadrado de la distancia.
  • Electroimán

    Electroimán

    William Sturgeon (1753-1850), descubre el electroimán, es decir, un imán accionado por electricidad.
  • electrodinámica

    electrodinámica

    Andre-Marie Ampere (1775-1836) establece los principios de la electrodinámica.
  • Corrientes eléctricas

    Corrientes eléctricas

    el físico Alemán Georg Simon Ohm (1789-1854) fue quien formuló con exactitud la ley de las corrientes eléctricas, definiendo la relación exacta entre la tensión y la corriente.
  • Joseph Henry

    Joseph Henry

    el Americano Joseph Henry (1799-1878) perfeccionó los electroimanes, observó que la polaridad cambiaba al cambiar la dirección del flujo de corriente, y desarrolló el concepto de Inductancia Propia.
  • Magnetismo

    Magnetismo

    Michael Faraday (1791-1867) , el establece que el magnetismo produce electricidad a través del movimiento.
  • El Telégrafo

    El Telégrafo

    Samuel F.B. Morse (1791-1867), construye el primer telégrafo.
  • James Prescott

    James Prescott

    James Prescott Joule (1818-1889) Físico Inglés, quien descubrió la equivalencia entre trabajo mecánico y la caloría, y el científico Alemán Hermann Ludwig Ferdinand Helmholtz (1821-1894), quien definió la primera ley de la termodinámica demostraron que los circuitos eléctricos cumplían con la ley de la conservación de la energía. Joule inventó la soldadura eléctrica de arco
  • Gustav Robert

    Gustav Robert

    Gustav Robert Kirchhoff (1824-1887) Físico Alemán a los 21 años de edad, anunció las leyes que permiten calcular las corrientes, y tensiones en redes eléctricas.
  • William Staite

    William Staite

    Inglés recibió el crédito por el desarrollo de la Lámpara de Arco.
  • Enlazar

    Enlazar

    a través de un cable marino se logra enlazar Inglaterra y Francia.
  • Cable trasatlántico

    Cable trasatlántico

    el matemático Inglés William Thomson (Lord Kelvin) (1824-1907), con su trabajo sobre el análisis teórico sobre transmisión por cable, hizo posible el desarrollo del cable trasatlántico.
  • Primer Telégrafo

    Primer Telégrafo

    Se instala el primer telégrafo trasatlántico gracias a un cable submarino
  • El dinamo

    El dinamo

    el Científico Belga Zénobe-Théophile Gramme (1826-1901) construyó la primera máquina de corriente continúa “El Dinamo” punto de partida de la nueva industria eléctrica.
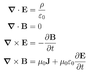
  • Las cuatro ecuaciones

    Las cuatro ecuaciones

    James Clerk Maxwell (1831-1879) Matemático Inglés formuló las cuatros ecuaciones que sirven de fundamento de la teoría Electromagnética.
  • El teléfono

    El teléfono

    Alexander Graham Bell (1847-1922) Escocés-Americano inventó el Teléfono
  • Línea telefónica

    Línea telefónica

    se instala la primera línea telefónica.
  • La primera lámpara

    La primera lámpara

    Thomas Alva Edison (1847-1931) produce la primera Lámpara Incandescente con un filamento de algodón carbonizado
  • Sistema eléctrico

    Sistema eléctrico

    Edison instaló el primer sistema eléctrico para vender energía para la iluminación incandescente.
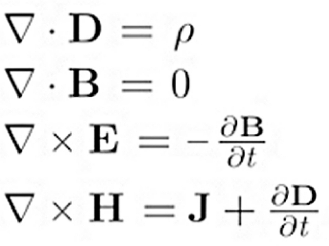
  • Ecuaciones Maxwell

    Ecuaciones Maxwell

    Heinrich Rudolf Hertz (1847-1894) demostró la validez de las ecuaciones de Maxwell y las reescribió, en la forma que hoy en día es conocida. En 1888 Hertz recibió el reconocimiento por sus trabajos sobre las Ondas Electromagnéticas: propagación, polarización y reflexión de ondas. Con Hertz se abre la puerta para el desarrollo de la radio
  • Campos rotantes

    Campos rotantes

    Nikola Tesla (1857-1943) Serbio-Americano inventor e investigador quien desarrolló la teoría de campos rotantes, base de los generadores y motores polifásicos de corriente alterna.
  • Patentes

    Patentes

    En 1888 Motor de inducción, la mejora del dinamo, el método para convertir y distribuir corrientes eléctricas. En 1890 el Motor de corriente alterna. En 1892 el Sistema de transmisión de potencia. En 1894 el Generador eléctrico. En 1896 el Equipo para producir corrientes y tensiones de alta frecuencia. En 1897 mejoras en el transformador eléctrico.
  • Antena

    Antena

    el profesor ruso de matemáticas de la Universidad de Kazán, Alejandro Popoff, inventa la antena que asoció al tubo de limaduras de Branly para detectar tormentas lejanas. El ingeniero italiano Guillermo Marconi realiza su primer experimento de transmisión de señales radioeléctricas a poca distancia. Marconi transmite señales Morse, sin ayuda de alambre de unión, a una distancia de milla y media.
  • Trasmisiones

    Trasmisiones

    Marconi patenta un dispositivo de perfeccionamiento en las transmisiones de impulsos y señales eléctricas. Con lo que se evoluciona a la radiotelegrafia.
  • Primera estación

    Primera estación

    Se instala la primera estación Marconi en la isla Wight
  • Primera comunicación

    Primera comunicación

    el día 28 de marzo Marconi asombra con la primera comunicación por radio entre Inglaterra y Francia a través del Canal de la Mancha.
  • Comunicación inalámbrica

    Comunicación inalámbrica

    Marconi primera comunicación inalámbrica (Inglaterra - EE.UU.)
  • Generador de arco

    Generador de arco

    Pousulen inventa su generador de arco (se utilizo en las emisoras de telegrafía sin hilos). Comunicaciones radioeléctricas para embarcaciones, usando código Morse. Siglo XX G Marconi
  • Ondas electromagnéticas

    Ondas electromagnéticas

    primera comunicación con un buque de pasajeros, en Luciana, desde las bases de Poldhu y Grace Bay.
  • Fleming

    Fleming

    Fleming perfecciona su diodo termoiónico detector de radio
  • Intercambio telefónico

    Intercambio telefónico

    Intercambio telefónico automático entre Berlín y Munich (Alemania).
  • Oscilador

    Oscilador

    Meissner fabrica el primer oscilador.
  • Organización radioaficionada

    Organización radioaficionada

    Estados Unidos, se funda la A.R.R.L. (American Radio Relay League), primera organización de Radioaficionados de este País. Siglo XX
  • Trasmisión AM

    Trasmisión AM

    la Compañia de Telegrafos del Oeste (EE.UU.) transmite la palabra por radiotelefonía desde Vermont a San Francisco, Hawai y París
  • Memoria binaria

    Memoria binaria

    construido con dos triodos. El técnico investigador David Sarnoff, de la RCA, primer receptor de radio para uso publico, rechazado por unanimidad por no considerarlo rentable
  • La T.F.S

    La T.F.S

    (telecomunicaciones sin fronteras) inicia en París los primeros ensayos de programas de radio para el público utilizando la Torre Eiffel como antena.
  • Radiodifusión

    Radiodifusión

    el 14 de Noviembre se constituye en Londres la BBC (British Broadcasting Corporation) concediéndole la administración inglesa el monopolio de la radiodifusión. Siglo XX

A list shows items. A timeline shows sequence.

Use Timetoast to make dates, milestones, and turning points easier to understand in a clear visual format. Timetoast is a timeline maker for work, school, research, and stories.