Gf 2 766069

La evolución de la ingeniería electrónica

  • Alessandro Volta

    Alessandro Volta

    Con el resultado de sus experimentos genero electricidad mediante metales diferentes, separados por un conductor húmedo llamado, "pila voltaica" En su honor a la unidad de medida de la potencia eléctrica se le denomino VOLTIO.
  • André Marie ampére

    André Marie ampére

    Logro formular y demostrar experimentalmente la interacción entre magnetismo y electricidad. En su honor la unidad de medida del flujo eléctrico fue llamado Amperio.
  • Electroimán

    Electroimán

    El inventor Británico William Sturgeon, crea un dispositivo que contribuyo significativamente a las comunicaciones electrónicas
  • Ley de Ohm

    Ley de Ohm

    El profesor alemán, Georg Simon Ohm, publica el resultado de sus experimentos que demuestran la relación entre voltaje, corriente y resistencia, conocida como ley de ohm. Su trascendencia fue menospreciada por sus colegas de la época y solo dos décadas después fue reconocido su aporte.
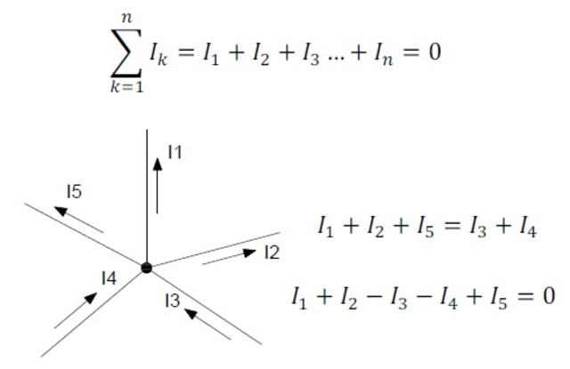
  • Ley de Kirchhoff

    Ley de Kirchhoff

    El físico alemán Gutav Krichhoff expone dos reglas con respecto a la distribución de la corriente en un circuito eléctrico con derivaciones, a esto le llamo la ley de kirchhoff
  • Comunicación por radio

    Comunicación por radio

    James Clerk Moxwell, fundamenta en desarrollos teóricos sobre la teoría electromagnética.
  • Tubo de Hittorf

    Tubo de Hittorf

    primer tubo de rayos catódicos
  • Fonografo

    Fonografo

    Edison con su fonografo demostró que la voz codificada se podía almacenar y reproducir (ROM)
  • Thomas Alva Edison

    Thomas Alva Edison

    Trato de mejorar su lampara incandescente, descubre que al calentar un metal este emite cargas eléctricas lo llamo "efecto edison" (emisión termoiónica). Años mas tarde Thomas A Edison demuestra que se puede tener conducción eléctrica entre un filamento de unas de sus bombillas incandescentes al vacío y una placa que se introduzca en el interior de la misma.
  • Hondas electromagnéticas

    Hondas electromagnéticas

    23 años después de la teoría de James Clerk, Hertz demostró la existencia de ondas electromagnéticas.
  • Nacimiento de la electrónica

    Nacimiento de la electrónica

    Lorentz postula la existencia de cargas directas, a las que llamo electrones, Thomas alba Édison ese mismo año demuestra la conducción entre los filamentos de las bombillas al vacío.
  • Tubo electrónico

    Tubo electrónico

    Braun, hizo publica la invención de su primer tubo electrónico sucesor de los tubos de rayos catodicos que entraron a formar parte de la tv
  • Invención de la primera aspiradora

    Invención de la primera aspiradora

    el ingeniero Hubert cecil booth creo la primer aspiradora
  • Invención aire acondicionado

    Invención aire acondicionado

    Willis Haviland Carrier diseño una máquina que controla la temperatura y la humedad por medios de tubos enfriados.
  • Primeros aeroplanos

    Primeros aeroplanos

    Los hermanos Wrigth, Orville y Wilbur al lanzarlo al aire con una catapulta externa, se consiguió un corto vuelo, suficiente para probar el sistema de viraje y control del avión.
  • Diodo de vació

    Diodo de vació

    Creación de la válvula termo iónica o diodo, por parte del físico británico John Ambrose Fleming - se pasa corriente alterna a corriente continua (proceso de rectificación.)
  • Triodo

    Triodo

    Aporte por el físico estadounidense Lee de Forest quien agrega un nuevo electrodo en forma de rejilla entre cátodo y ánodo del tubo de vacío. Este electrodo permite regular el paso de electrones y así nace el triodo primer dispositivo amplificador electrónico
  • 1930

    1930

    Vannevar Bush diseña una maquina analógica que resolvía ecuaciones diferenciales lo llamo el analizador diferencial
  • Máquina Turing

    Máquina Turing

    se inicia la teoría de la computación con la descripción de la maquina turing
  • Z3

    Z3

    Primera computadora funcional del mundo controlada por programas.
  • ABC

    ABC

    Atanasoff desarrolla el ABC, máquina electrónica digital para la resolución de sistemas lineales
  • laboratorio bell

    laboratorio bell

    se creo un grupo de trabajo compuesto por físicos teóricos y experimentales, un químico y un ingeniero electrónico, para trabajar en las comunicaciones empleando los tubos electrónicos.
  • Transistor

    Transistor

    los físicos Walter Brattain, John Barden y W. shockley inventan en los laboratorios bell el transistor, que sustituyo a la válvula de vacío por su mayor fiabilidad, su menor tamaño y su menor coste
  • Transistor Bipolar

    Transistor Bipolar

    en una configuración normal la unión de emisor - base se polariza en directa y la unión base - colector en inversa.
  • Comercialización del transistor

    se comercializan los primeros transistores los cuales entran a remplazar los tubos al vacío
  • Fibra óptica

    Fibra óptica

    Narinder Sigh Kapany, apoyándose en los estudios de John Tyndall realizo experimentos que condujeron a la invención de la fibra óptica.
  • Premio novel

    Premio novel

    Se otorga premio nobel de física a los científicos bardeen, Brattain y schockley
  • Cinta de vídeo

    Cinta de vídeo

    Ampex lanzo al mercado en abril de 1956 la primera vídeo grabadora. el VRX-1000 que causo sensación.
  • Circuito integrado

    Circuito integrado

    El primer circuito integrado fue desarrollado en 1959 por el ingeniero Jack Kilby (1923 - 2005) se trataba de un dispositivo de germanio que integraba 6 transistores en una misma base semiconductora para formar un oscilador de rotación de fase.
  • Microprocesador

    Microprocesador

    Lo realizaron los ingenieros Ted hoff y Federico Fagginen Intel y fue el 4004 de 4 bits y 275 transistores
  • El teléfono

    El teléfono

    Alexander Graham bell- invento el teléfono y logro enviar voz utilizando la corriente eléctrica.
  • Computadora Portátil

    Computadora Portátil

    la primera computadora portátil considerada como tal fue la epson hx 20
  • CD

    CD

    el sistema óptico fue desarrollado por philips mientras que la lectura y la codificación corrió a cargo de sony fue presentado en junio de 1988
  • Sound Blaster

    Sound Blaster

    Creative labs presenta la tarjeta de sonido sound blaster. placa de sonido de expansión para computadores que permite la entrada y salida de audio bajo el control de un programa informático llamado controlador
  • Batrias de litio recargables

    Batrias de litio recargables

    La batería de ión de litio también denominada Li-ion es un dispositivo diseñado para el almacenamiento de energía eléctrica

Want to make a timeline like this?

Use Timetoast to turn dates, events, milestones, and phases into a clear visual timeline you can build and share. Timetoast is a timeline maker for work, school, research, and stories.