Rise of the Internet, Web and Social Media

  • USSR Launches Sputnik

    USSR Launches Sputnik

    On October 4, 1957 the Soviet Union launches Sputnik I, an unmanned satellite. The launch frightened the world and ignited the thought and implementation of global communication.
  • ARPA

    ARPA

    The United States created the Advanced Research Projects Agency (ARPA) in response to Sputnik. The agency underwrote development for the precursor of the Internet, ARPANET. This consisted of four university computers across the US to be interconnected to share data and scientific findings. ARPANET sent information in small units called packets that were sent on specific routes and reconstructed at their end destination.
  • Packet Switching Pioneered

    Packet Switching Pioneered

    Paul Baran at the RAND Corporation developed the concept of distributed adaptive message block switching while performing research for the US Air Force. The work was primarily focused on the use of a decentralized network with multiple pathways between two points, dividing messages into message blocks and delivery of the messages by store and forward switching.
  • Computer Networking Experiment

    Computer Networking Experiment

    While serving as the ARPA director, Charles Herzfield approved funding to develop a networking experiment that would create inter-connectivity between four universities funded by the agency. The advancement would be known as the ARPANET, the first packet network.
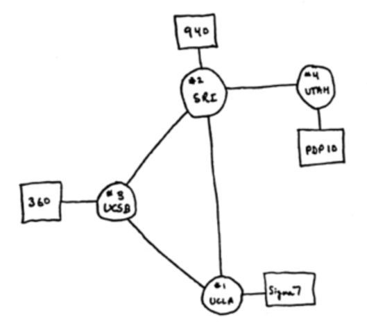
  • Four Universities Connected

    Four Universities Connected

    The physical Interface Message Processor (IMP) connects the University of California at Los Angeles, SRI (Stanford), University of California at Santa Barbara and the University of Utah.
  • Email Surfaces

    Email Surfaces

    Ray Tomlinson invents the email program to send messages across a network. The "@" was chosen to separate local from global emails.
  • Creation of the World Wide Web

    Creation of the World Wide Web

    At CERN, Tim Berners-Lee created the World Wide Web.
  • "You've got mail!"

    "You've got mail!"

    AOL launches their instant messaging system and invites users with their greeting, "You've got mail!"
  • MoveOn.org

    MoveOn.org

    In response to the impeachment of President Bill Clinton, progressive policy advocacy goup formed MoveOn.org as a place to support education and advocacy on policy issues.
  • Napster

    Napster

    Napster was originally founded as a pioneer software of peer-to-peer file sharing.
  • Blogger

    Blogger

    Blog-publishing service that allows multiple individuals to post individual thoughts with time-stamped entries.
  • Tripadvisor

    Tripadvisor

    Introduction of the American travel website that allows users to book hotels and read travel reviews.
  • Wikipedia

    Wikipedia

    Wikipedia is an online encyclopedia that allows users to add information.
  • StumbleUpon

    StumbleUpon

    Discovery engine that finds and recommends web content to the user. Also allows users to rate web pages, photos and videos based on their personal interests.
  • LinkedIn

    LinkedIn

    LinkedIn is a business social networking platform that allows employees and networks to connect.
  • Meetup

    Meetup

    Meetup allows online group meetings to happen around the world.
  • MySpace

    MySpace

    Social networking site that allows users to post to their personal network of friends blogs, photos, music and videos.
  • Skype

    Skype

    Skype was created as an instant message app to allow users to chat via text or video. Skype allows video conference calls to occur across the world.
  • Facebook

    Facebook

    Facebook is a for-profit corporation and online social networking service that allows individuals to create their own profile.
  • Yelp

    Yelp

    Users can read reviews of restaurants, venues and make reservations all on the new Yelp app.
  • Youtube

    Youtube

    Web community where individuals can share professional and home videos to the public realm. `
  • Reddit

    Reddit

    The candid discussion board aggregates American social news and creates a platform for members to submit content and comments to other posts.
  • Twitter

    Twitter

    Twitter feeds allow users to view online news and engage in social networking activities.
  • WhatsApp

    WhatsApp

    Introduction of an app that allows users with access to the Internet to perform voice calls, text messaging, GIF sending and video messages to other smartphones around the world.
  • Pinterest

    Pinterest

    The ultimate catalog of ideas allows users to share interests, pictures and crafts to others on the world wide web.
  • Snapchat

    Snapchat

    The multimedia application allows users to send short pictures to other users, share news and post to stories.

Plan projects on a visual timeline

Map milestones, phases, deadlines, and key events in one place so the sequence is easier to see and share. Timetoast is a timeline maker for work, school, research, and stories.